Nonequilibrium QED
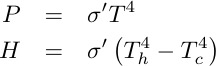
Radiation Pressure arises in a non-equilibrium steady state with different temperatures

At short scales "near-field effects" due to evanescent waves modify classical "Stefan-Boltzmann" law:
"Surface Phonon Polaritons Mediated Energy Transfer between Nanoscale Gaps," S.Shen, A. Narayanaswamy, & G. Chen,
Nano Lett. 9, 2909 (2009) Breaking the law, at the nanoscale (MIT news, July 29, 2009)
A generalized approach for computation of Casimir forces, as well as radiation and heat transfer.
"Nonequilibrium Electromagnetic Fluctuations: Heat Transfer and Interactions,"
M. Krüger, T. Emig, and M. Kardar, Phys. Rev. Lett. 106, 210404 (2011)
Rytov (1959):
"Fluctuational QED"
Fluctuating currents in each object are related to its temperature by a fluctuation-dissipation condition:

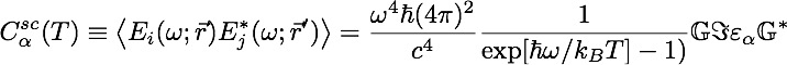
The EM field due to thermal fluctuations of one object is related to overall Green's function by:

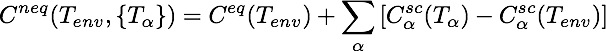
The overall fluctuations with many objects at different temperatures is then given by:

From EM correlations follow the stress tensor and the Poynting vector, hence forces and radiation.
As example, consider levitation of a hot (tungsten) microsphere on top of a cold plate.


Near field effect qualitatively modify radiation pressure and heat transfer.