Disorder
Active particles moving on a disordered landscape:
On coarse scales, the random landscape can be regarded as a collection of randomly placed pumps (fixed inclusions)
Density response of non-interacting active particles on such a landscape can be obtained by superposition:

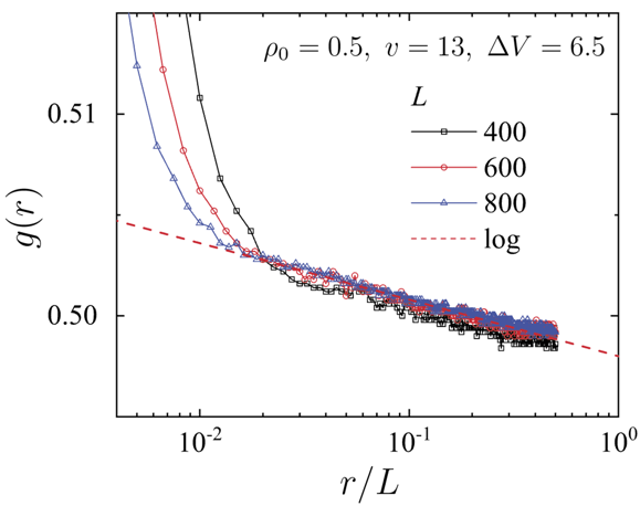
The superposition generates a highly (power-law) correlated state, such that


Disorder also leads to persistent currents in this state (since the random force field is not curl-free)
OK,
Sunghan Ro, Y. Kafri, M. Kardar, J. Tailleur, Phys. Rev. Lett. 126, 048003 (2021)