Phase separation and disorder


 Interacting active particles (with or without attraction) can undergo Motility Induced Phase separation (MIPS):

         

  What happens to this phase transition if active particles move on a random (short-range correlated, bounded) landscape?

Sunghan Ro, Y. Kafri, M. Kardar, J. Tailleur, Phys. Rev. Lett. 126, 048003 (2021)

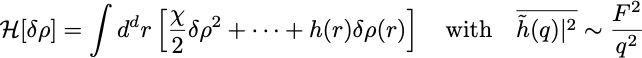
yellow ball Analogy: For non-interacting active particles, density variations are similar to those expected for an equilibrium system

in response to a spatially varying potential (magnetic field) with long-range correlations:

yellow ball We may inquire of the effects of a similar "random field" on phase transition of an equilibrium system:

  Imry-Ma: Consider stability of an ordered domain of size  to flip to the oppositely ordered state;

yellow ball Can the cost of surface tension be made up by a fortuitous gain in random field energy?

The ordered phase is unstable to random field induced flips of large enough domains for

yellow ball The absence of MIPS with disorder is supported by simulations:

Quench with no disorder:

Quench with bulk disorder:

 

yellow ball Turning on bulk disorder in a phase separated state:

yellow ball Turning off bulk disorder: