Heat
(... transport in non-equilibrium QED)
Radiation Pressure is a feature of non-equilibrium steady states with different temperatures

At short scales "near-field effects" due to evanescent waves modify classical "Stefan-Boltzmann" law:
"Surface Phonon Polaritons Mediated Energy Transfer between Nanoscale Gaps," S.Shen, A. Narayanaswamy, & G. Chen,
Nano Lett. 9, 2909 (2009) Breaking the law, at the nanoscale (MIT news, July 29, 2009)
A generalized approach for computation of Casimir forces, as well as radiation and heat transfer.
"Nonequilibrium Fluctuational QED: Heat Radiation, Heat Transfer and Force,"
G. Bimonte, T. Emig, M. Kardar, and M. Krüger, Annual Review of Condensed Matter Physics 8, 119 (2017)
Rytov (1959):
"Fluctuational QED"
Fluctuating currents in each object are related to its temperature by a fluctuation-dissipation condition:

The EM field due to thermal fluctuations of one object is related to overall Green's function by:
_e.jpeg)
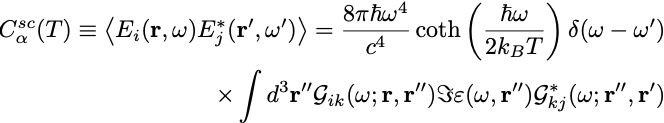
The overall fluctuations with many objects at different temperatures is then given by:

From EM correlations follow the stress tensor and the Poynting vector, hence forces and radiation.
As an example with asymmetry, consider forces between two micro-spheres at different temperatures:
"Non-equilibrium Casimir forces: Spheres and sphere-plate,"
M. Krüger, T. Emig,G. Bimonte and M. Kardar, Europhys. Lett. 95, 21002 (2011) (1 micron Si O2 spheres, force on #2)
Whereas the equilibrium force (attractive) falls off as 1/d6, the non-equilibrium force decays as 1/d2. ( * )
The non-equilibrium force can be attractive and repulsive. ( * )
Unlike in thermal equilibrium, there are points of stable levitation. ( * )
Forces are not equal and opposite, with points of equal force in the same direction! ( * )
Near field effects strongly modify force and heat transfer.