Earnshaw's Theorem
Can a charged body be held in stable stationary equilibrium by electrostatic forces from other charged bodies?
"On the Nature of the Molecular Forces which Regulate the Constitution of the Luminiferous Ether,"

The Castle of the Pyrenees: Rene Magritte 1959


Extension of Earnshaw's theorem to containers with classical mobile charges at finite temperature:



![]()
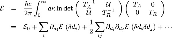
Now consider the Casimir forces between a set of objects described by position and frequency dependent dielectric response:


![]()
![]()
"Constraints on Stable Equilibria with Fluctuation-Induced (Casimir) Forces,"
S.J. Rahi, M. Kardar, & T. Emig, Phys. Rev. Lett. 105, 070404 (2010)
The Casimir force from a combination of dielectrics cannot lead to stable levitation in equilibrium (zero or finite temperature).
Appears to rule out repulsion from metamaterials constructed out of ordinary metals and dielectrics.
Levitation can be achieved if conditions for the theorem are violated (cf classical Earnshaw thm.):
Violations of generalized Earnshaw theorem for fluctuation-induced forces:
Non-equilibrium QED (different temperatures)
Non-reciprocal materials.
Soft matter (rather specific case of critical Casimir forces)
Active matter (asymmetric passive object)