Simulations of Transient Active Matter


red ballSimulations employing the model of Active Brownian Particles (ABP):

yellow ballForce and pressure can be computed from the density of particles in a wall potential:

yellow ballFor non-interacting ABPs:


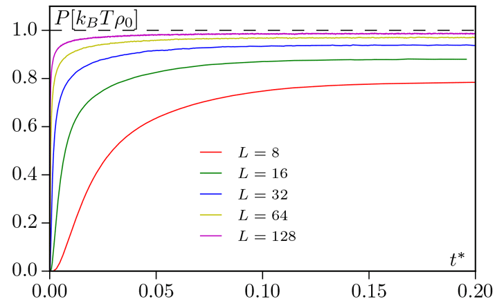
red ball Non-interacting active particles, agitated (from rest) between walls separated by L:

yellow ballActive particles condense on a repulsive surface!

yellow ballThe evolution of the mean density profile can be modelled by:

yellow ball  Interactions between inclusions are similarly dominated by changes in the mean density with time

 


red ball What about the fluctuation-induced transient force?

yellow ballA local equilibrium assumption suggests

yellow ballThere is no fluctuation force for non-interacting particles (P''=0)

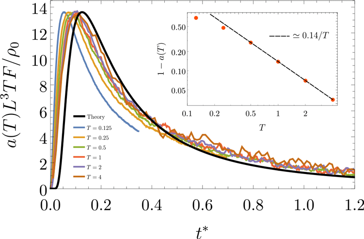
yellow ballSimulations for an interacting gas (initial condition corresponding to infinite temperature):

yellow ballThe transient force due to relaxation of the mean density profile decays with time exponentially

yellow ballThe long time decay of the force is due to the (repulsive) contribution of transient density fluctuations.