Cole-Hopf mapping

Deterministic (noiseless) limit

Can we construct such a mapping relating competitive growth equations to another model?
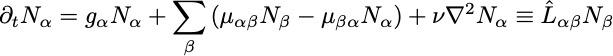
Linear (Eigen's) model of reproduction/mutation/diffusion of "quasi"-species:

The linear deterministic equations are in principle exactly solvable:
However, the overall population at each location grows (decays) exponentially in time:

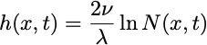
The species fractions at each location evolve as

A generalized Cole-Hopf transformation maps this linear problem to a variant of the range expansion model:
=_2_nu_ove.jpeg)
This rough front is now coupled to species fractions according to
Starting with an initial seeding of species on a rough surface, this deterministic variant of range expansion
can be solved exactly after a Cole-Hopf mapping to a corresponding linear "Eigen" model.
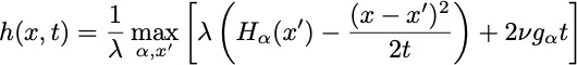
Ignoring mutations for simplicity, the evolution of the front profile is obtained as

where
The coarsening pattern at longer times can be obtained by a saddle point approximation as
This describes competition of "circular arcs" each advancing with relative velocities
For two species, the corresponding limit of the general coupled equations takes the form:
The Cole-Hopf maps to exactly the point when the "circular arc" and "bare Fisher" velocities are identical!
A non-flat initial profile grows into a series of coarsening paraboloids:

Each paraboloid is dominated by a single species located at an initial peak.
In the above picture, the blue species is less fit than the gray, and would have gone extinct on a flat front,
the advantage of initial location allows it to carve out its own geographic niche.
In this system the advantage of height h is equivalent to a exponentially larger seed population.
"Bacterial range expansions on a growing front: Roughness, Fixation, and Directed Percolation,"