Sector boundary drift
The expansion velocity can be stochastic, and depend on the shape of the front (curvature and slope in a "gradient" expansion):
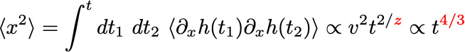
The generic scaling of fluctuations of the above equation is super-diffusive:

Uniform (isotropic) growth: the coalescence rate is obtained by method of images as

Sector boundaries drift on a sloped surfaces, as
![]()
Stochastic fluctuations of the rough surface thus lead to random drift of the sector boundary, such that
