Growth Morphologies
Competing variants would generically grow at different rates.
The bulging circular arc is a common morphology for growth of a fitter mutant:

"Selective sweeps in growing microbial colonies,"
K.S. Korolev, M.J.I. Muller, N, Karahan, A.W. Murray, O. Halatschek, D.R. Nelson, Phys. Biol 9, 026008 (2012)
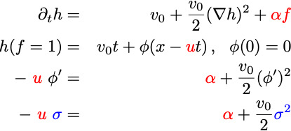
Morphologies can be explored by coupling profile growth (KPZ) and invasion (FKPP) equations:

Uniform (isotropic) growth leads to
![]()
A more general class of equations, also including anisotropy, were proposed and studied in connection with extinction transitions, were proposed and studied in:
"Bacterial range expansions on a growing front: Roughness, Fixation, and Directed Percolation,"
Ignoring invasion front shape, one possible geometry is a Circular Arc:
![]()
Another morphology is a Composite Bulge joining the flat front at a fixed slope:

Positive slopes occur for slower mutant growth, leading to V-shaped Dents:
This is somewhat surprising, as slower growth of isolated colonies suggests that they would lose out in competition.
However, such a V-shaped dent, with take-over of a slower growing mutant was observed recently:

"Slow expanders invade by forming dented fronts in microbial colonies,"
Hyunseok Lee, J. Gore1 and K.S. Korolev, PNAS 119, e2108653119.
(Different morphologies obtained through "geometric growth" rules)

Possible phase diagram of growth morphologies:
