Growth Morphology
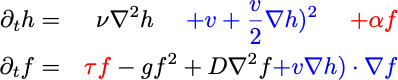
Isotropy of growth further restricts the parameters:
![]()
Uniform growth with velocity v normal to the front leads to the further restrictions:
![]()
Morphology of isotropically competing species now depends on parameters
and
:
α >> 0 α < 0
(v > 0)
The bulging circular arc is a common morphology for growth of a fitter mutant:

"Selective sweeps in growing microbial colonies," K.S. Korolev, M.J.I. Muller, N, Karahan, A.W. Murray, O. Halatschek, D.R. Nelson, Phys. Biol 9, 026008 (2012)
Recent observation of a V-shaped dent morphology in take-over of a slower growing mutant was somewhat surprising:
"Slow expanders invade by forming dented fronts in microbial colonies," Hyunseok Lee, J. Gore1 and K.S. Korolev, PNAS 119, e2108653119.
Anisotropic of growth models are easily implemented in simulations:
The simple ``brick wall" model leads to λ< 0

α < 0 α > 0
λ< 0 