Coalescence with Rough Boundaries
Sector boundaries and genetic lineages are fluctuating paths (in 2 dimensions):

Extinction occurs when (going forward in time) boundaries of a sector coalesce
Last common ancestor can be traced when (going backward in time) lineages coalesce
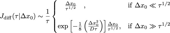
For diffusive paths the coalescence rate is obtained by method of images as

with limiting forms:

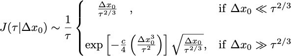
The corresponding results for coalescence rates of super-diffusive paths are not known.
Numerical simulations of both stepping stone and DPRM models support the forms:



"Evolution in range expansions with competition at rough boundaries,"
S. Chu, M.Kardar, D.R. Nelson, & D.A. Beller, Journal of Theoretical Biology 478, 153 (2019). (off-line)
Consequences of super-diffusive meandering
Genetic diversity disappears more rapidly
Common ancestors are more recent and fewer
