Deterministic growth
Linear (Eigen's) model of reproduction/mutation/diffusion of "quasi"-species:

The linear deterministic equations are in principle exactly solvable:
However, the overall population at each location grows (decays) exponentially in time:

The species fractions at each location evolve as

A generalized Cole-Hopf transformation maps this linear problem to a variant of the range expansion model:
=_2_nu_ove.jpeg)
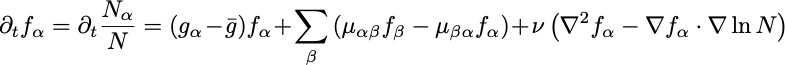
This rough front is now coupled to species fractions according to

Starting with an initial seeding of species on a rough surface, the deterministic variant of range expansion
can be solved exactly after a Cole-Hopf mapping to a corresponding linear "Eigen" model.
Ignoring mutations for simplicity, the evolution of the front profile is obtained as

where
For small ν a saddle point approximation yields
A non-flat initial profile grows into a series of coarsening paraboloids:

Each paraboloid is dominated by a single species located at an initial peak.
In the above picture, the blue species is less fit than the gray, and would have gone extinct on a flat front,
the advantage of initial location allows it to carve out its own geographic niche.
In this system the advantage of height h is equivalent to a exponentially larger seed population.
"Bacterial range expansions on a growing front: Roughness, Fixation, and Directed Percolation,"