Competition & Invasion
Competitive advantage of one a species causes it to invade and expand its territory:

The proportion f of the invading species can be modeled as a Fisher-Kolmogorov-Petrovsky-Piskunov (FKPP) wave
![]()
Traveling wave solutions are broadly classified as [reviewed in W. van Saarloos, Phys. Rep 386, 29 (2003)]
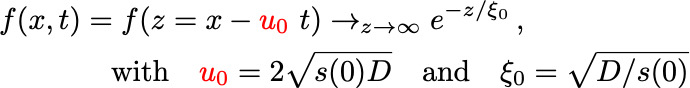
Pulled waves are controlled by the leading edge, with speed obtained by linearization around f=0 as
&=_f(z=x-_.jpeg)
Pushed waves are influenced by the the entire profile, their velocity is not obtained to linearization.
An exactly solvable case is provided by
![]()
which is used to model the "Alee effect" with a minimum population size required for growth.
The exact form of the wave profile in this model is given by