Quorum sensing
Central tolerance and Peripheral tolerance
Having survived negative selection against M self-peptides, the chance of activation against a random peptide is small

For EP=EN=Ea the extreme value properties yield p=1/M
We shall use the estimates: M~7,000 and p~10 -5
A large repertiore to T cells is thus needed to detect a pathogen peptide
Estimates of number of distinct T cells give T >5x106
Since thymic selection is stochastic, a given TCR cannot be exposed to the entire self-peptide reperoire,
estimated to have size P~104; resulting in a self-activation probability of

Given the large number of T cells, the chance of non-self-reactivity is small!
T.C. Butler, MK, & A.K. Chakraborty, PNAS 110, 11835 (2013)
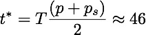
propose that immune response requires collective decision of t T cells:


Distinguishing between self and pathogen peptides requires

The predicted number of T cells for such quorom is

Preliminary evidence of this in experiments injecting mice with controlled number of T cells.