Analysis
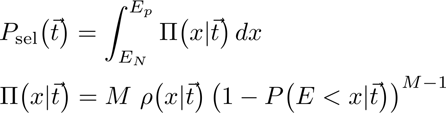
The selection condition is equivalent to the choice of the Extreme Value:

![]()

Probability distribution of the extremum of M objects:


Characteristics of the Extreme Value Distribution
:
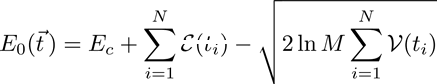
Starting energyes:
Mean value:
~
Standard deviation:
~
Scaling in the large N limit;
(proteome)
Due to the shaprpness of the distibution in the large N limit, the seletion condition can be written as:
where
and
are the mean and variance of interactions of the candidateTCR sequence.
The above selection condition is reminiscent of the micro-canonical constraints in Statistical Physics.
The "energy" involves interactions amongst the N amino-acids in the sequence
The "interaction" depends only on the sum of variances for the individual amino-acids
As such, in the large N limit, the probability to select a sequence can be written as a product
,
where
and
have to be obtained self-consistently from
and
.
Graphical solution for
![]()

![]()
Because of the restriction to an energy interval, there is a range of parameters where
= 0.
How well does this work for finite N? (N=5 and M=10.000)
Kosmrlj, Chakraborty, MK, & Shakhnovich, PRL 103, 068103 (2009)