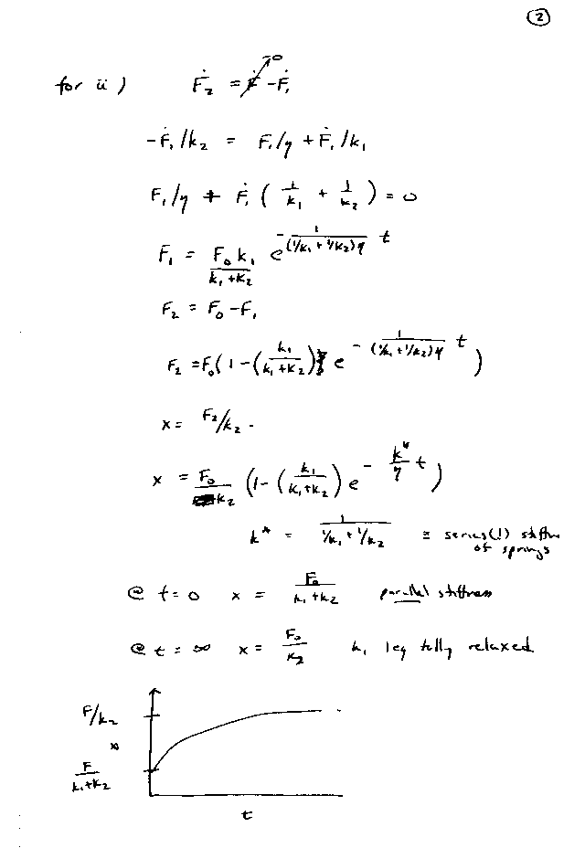
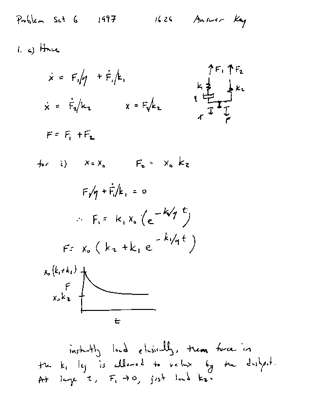
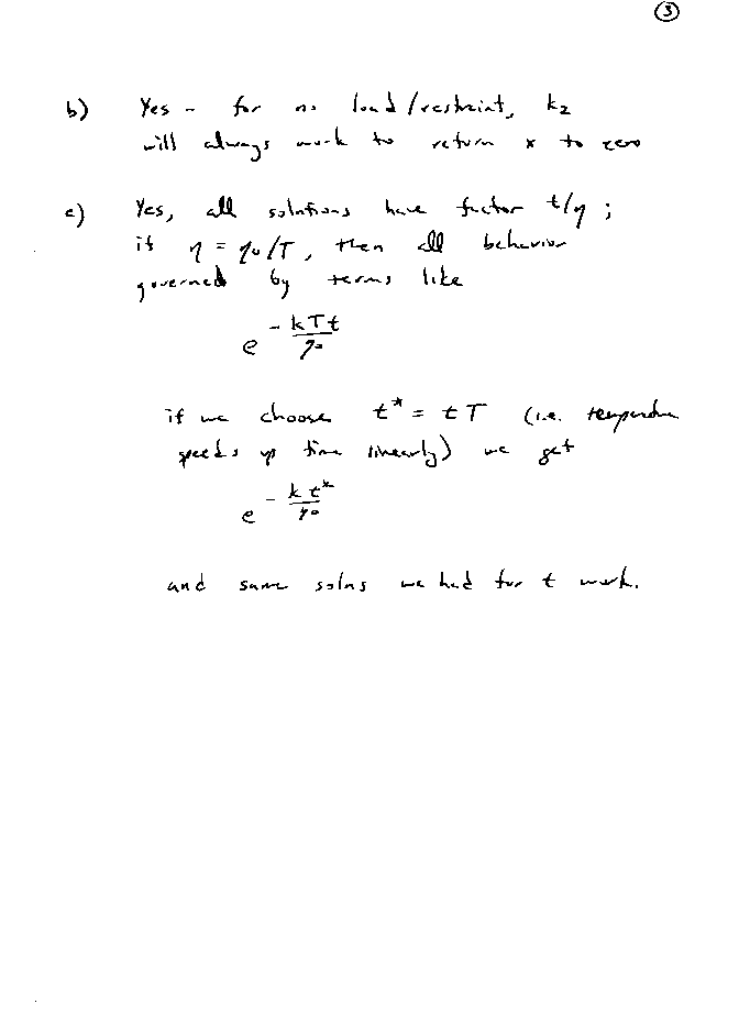
Return to PS list

Questions [ 1 | 2 | 3 ]