Burt Rutan's White Knight and SpaceShip One, Photo Courtesy of Scaled Composites
Thermodynamics and Propulsion
Subsections


18.5 Heat Exchangers

The general function of a heat exchanger is to transfer heat from one fluid to another. The basic component of a heat exchanger can be viewed as a tube with one fluid running through it and another fluid flowing by on the outside. There are thus three heat transfer operations that need to be described:
  1. Convective heat transfer from fluid to the inner wall of the tube,
  2. Conductive heat transfer through the tube wall, and
  3. Convective heat transfer from the outer tube wall to the outside fluid.

Heat exchangers are typically classified according to flow arrangement and type of construction. The simplest heat exchanger is one for which the hot and cold fluids move in the same or opposite directions in a concentric tube (or double-pipe) construction. In the parallel-flow arrangement of Figure 18.8(a), the hot and cold fluids enter at the same end, flow in the same direction, and leave at the same end. In the counterflow arrangement of Figure 18.8(b), the fluids enter at opposite ends, flow in opposite directions, and leave at opposite ends.

Figure 18.8: Concentric tubes heat exchangers
[Parallel flow] Image fig10HeatExchTubesParallel_web [Counterflow] Image fig10HeatExchTubesCounter_web

Figure 18.9: Cross-flow heat exchangers.
[Finned with both fluids unmixed.] Image fig10HeatExchCrossFinned_web [Unfinned with one fluid mixed and the other unmixed] Image fig10HeatExchCrossUnfinned_web

Alternatively, the fluids may be in cross flow (perpendicular to each other), as shown by the finned and unfinned tubular heat exchangers of Figure 18.9. The two configurations differ according to whether the fluid moving over the tubes is unmixed or mixed. In Figure 18.9(a), the fluid is said to be unmixed because the fins prevent motion in a direction ($ y$ ) that is transverse to the main flow direction ($ x$ ). In this case the fluid temperature varies with $ x$ and $ y$ . In contrast, for the unfinned tube bundle of Figure 18.9(b), fluid motion, hence mixing, in the transverse direction is possible, and temperature variations are primarily in the main flow direction. Since the tube flow is unmixed, both fluids are unmixed in the finned exchanger, while one fluid is mixed and the other unmixed in the unfinned exchanger.

To develop the methodology for heat exchanger analysis and design, we look at the problem of heat transfer from a fluid inside a tube to another fluid outside.

Figure 18.10: Geometry for heat transfer between two fluids
Image fig10GeometryForHeatExchange_web

We examined this problem before in Section 17.2 and found that the heat transfer rate per unit length is given by

$\displaystyle \dot{Q} =\cfrac{2\pi k(T_A-T_B)}{\cfrac{k}{r_1h_1}+\cfrac{k}{r_2h_2} +\ln\left(\cfrac{r_2}{r_1}\right)}.$ (18..21)

Here we have taken into account one additional thermal resistance than in Section 17.2, the resistance due to convection on the interior, and include in our expression for heat transfer the bulk temperature of the fluid, $ T_A$ , rather than the interior wall temperature, $ T_1$ .

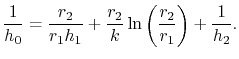
It is useful to define an overall heat transfer coefficient $ h_0$ per unit length as

$\displaystyle \dot{Q} =2\pi r_2h_0(T_A-T_B).$ (18..22)

From (18.21) and (18.22) the overall heat transfer coefficient, $ h_0$ , is

$\displaystyle \frac{1}{h_0} = \frac{r_2}{r_1h_1}+\frac{r_2}{k}\ln\left(\frac{r_2}{r_1}\right)+\frac{1}{h_2}.$ (18..23)

We will make use of this in what follows.

Figure 18.11: Counterflow heat exchanger
Image fig10HeatExchCounterflowSchematic_web

A schematic of a counterflow heat exchanger is shown in Figure 18.11. We wish to know the temperature distribution along the tube and the amount of heat transferred.


18.5.1 Simplified Counterflow Heat Exchanger (With Uniform Wall Temperature)

To address this we start by considering the general case of axial variation of temperature in a tube with wall at uniform temperature $ T_0$ and a fluid flowing inside the tube (Figure 18.12).

Figure 18.12: Fluid temperature distribution along the tube with uniform wall temperature
Image fig10HeatExchCounterflowTempDist_web

The objective is to find the mean temperature of the fluid at $ x$ , $ T(x)$ , in the case where fluid comes in at $ x = 0$ with temperature $ T_1$ and leaves at $ x = L$ with temperature $ T_2$ . The expected distribution for heating and cooling are sketched in Figure 18.12.

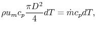
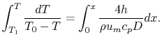
For heating ($ T_0 > T$ ), the heat flow from the pipe wall in a length $ dx$ is

$\displaystyle \dot{q}\pi D dx = h\pi D(T_0 - T)dx,$

where $ D$ is the pipe diameter. The heat given to the fluid (the change in enthalpy) is given by

$\displaystyle \rho u_m c_p \frac{\pi D^2}{4}dT = \dot{m} c_p dT,$

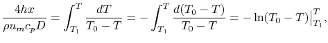
where $ \rho$ is the density of the fluid, $ u_m$ is the mean velocity of the fluid, $ c_p$ is the specific heat of the fluid and $ \dot{m}$ is the mass flow rate of the fluid. Setting the last two expressions equal and integrating from the start of the pipe, we find

$\displaystyle \int_{T_1}^T \frac{dT}{T_0-T} = \int_0^x\frac{4h}{\rho u_m c_p
D}dx.$

Carrying out the integration,

$\displaystyle \frac{4hx}{\rho u_m c_p
D} = \int_{T_1}^T \frac{dT}{T_0-T} =
-\int_{T_1}^T\frac{d(T_0-T)}{T_0-T}=-\ln(T_0-T)\bigr\vert _{T_1}^T,$

i.e.,

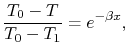
$\displaystyle \ln\left(\frac{T_0-T}{T_0-T_1}\right) = -\frac{4hx}{\rho u_m c_p D}.$ (18..24)

Equation (18.24) can be written as

$\displaystyle \frac{T_0 -T}{T_0-T_1} = e^{-\beta x},$

where

$\displaystyle \beta = \frac{4h}{\rho u_m c_p D} = \frac{\pi h D}{\dot{m}c_p}.$

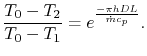
This is the temperature distribution along the pipe. The exit temperature at $ x = L$ is

$\displaystyle \frac{T_0-T_2}{T_0-T_1} = e^{\frac{-\pi h D L}{\dot{m}c_p}}.$ (18..25)

The total heat transfer to the wall all along the pipe is

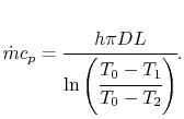
$\displaystyle \dot{Q} = \dot{m} c_p (T_1 -T_2).$ (18..26)

From Equation (18.25),

$\displaystyle \dot{m}c_p =\cfrac{h\pi DL}{\ln\left(\cfrac{T_0-T_1}{T_0-T_2}\right)}.$

The total rate of heat transfer is therefore

$\displaystyle \dot{Q} = \cfrac{h\pi DL(T_1-T_2)}{\ln\left(\cfrac{T_1-T_0}{T_2-T_0}\right)}$    

or


$\displaystyle \dot{Q} = h\pi DL\Delta T_\textrm{LM},$ (18..27)

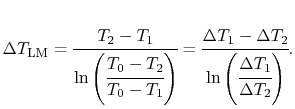
where $ \Delta T_\textrm{LM}$ is the logarithmic mean temperature difference, defined as

$\displaystyle \Delta T_\textrm{LM} = \cfrac{T_2 -T_1}{\ln\left(\cfrac{T_0-T_2}{...
...cfrac{\Delta T_1 - \Delta T_2}{\ln\left(\cfrac{\Delta T_1}{\Delta T_2}\right)}.$ (18..28)

The concept of a logarithmic mean temperature difference is useful in the analysis of heat exchangers. We will define a logarithmic mean temperature difference for the general counterflow heat exchanger below.

18.5.2 General Counterflow Heat Exchanger

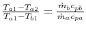
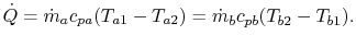
We return to our original problem, to Figure 18.11, and write an overall heat balance between the two counterflowing streams as

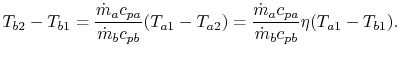
$\displaystyle \dot{Q} = \dot{m}_a c_{pa} (T_{a1} -T_{a2})=\dot{m}_b c_{pb} (T_{b2} -T_{b1}).$

From a local heat balance, the heat given up by stream $ a$ in length $ d$ x is $ -\dot{m}_a c_{pa} dT_a$ . (There is a negative sign since $ T_a$ decreases). The heat taken up by stream $ b$ is $ -\dot{m}_b
c_{pb} dT_b$ . (There is a negative sign because $ T_b$ decreases as $ x$ increases). The local heat balance is

$\displaystyle -\dot{m}_ac_{pa} dT_a =-\dot{m}_b c_{pb} dT_b = \dot{q}dA = \dot{q}\pi Ddx.$ (18..29)

Solving (18.29) for $ dT_a$ and $ dT_b$ , we find

$\displaystyle dT_a = -\frac{\dot{q}dA}{\dot{m}_a c_{pa}}; \qquad dT_b = -\frac{\dot{q}dA}{\dot{m}_b c_{pb}}.$

$\displaystyle d(T_a-T_b) = d\Delta T = - \left(\frac{1}{\dot{m}_a c_{pa}}-\frac...
...}\right)\dot{q}dA
= -\left(\frac{1}{W_a} - \frac{1}{W_b}\right)\dot{q} \pi Ddx,$

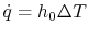
where $ W = \dot{m} c_p$ . Also, $ \dot{q} = h_0 \Delta T$ where $ h_0$ is the overall heat transfer coefficient. We can then say

$\displaystyle \frac{d\Delta T}{\Delta T} = -h_0 \pi D\left(\frac{1}{W_a}-\frac{1}{W_b}\right)dx.$

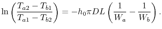
Integrating from $ x = 0$ to $ x = L$ gives

$\displaystyle \ln\left(\frac{T_{a2}-T_{b1}}{T_{a1}-T_{b2}}\right) = -h_0\pi DL\left(\frac{1}{W_a}-\frac{1}{W_b}\right).$ (18..30)

Equation (18.30) can also be written as

$\displaystyle \frac{T_{a2} - T_{b1}}{T_{a1}-T_{b2}} = e^{-\alpha},$ (18..31)

where

$\displaystyle \alpha = h_0 \pi DL\left(\frac{1}{W_a}-\frac{1}{W_b}\right).$

We know that

$\displaystyle T_{a1} - T_{a2} = \frac{\dot{Q}}{W_a}; \qquad T_{b2} - T_{b1} = \frac{\dot{Q}}{W_b}.$ (18..32)

Thus

$\displaystyle (T_{a1} - T_{b2}) - (T_{a2} - T_{b1}) =\dot{Q}\left(\frac{1}{W_a}-\frac{1}{W_b}\right).$

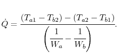
Solving for the total heat transfer:

$\displaystyle \dot{Q} = \cfrac{(T_{a1}-T_{b2})-(T_{a2}-T_{b1})}{\left(\cfrac{1}{W_a}-\cfrac{1}{W_b}\right)}.$ (18..33)

Rearranging (18.30) allows us to express $ \left(\frac{1}{W_a}-\frac{1}{W_b}\right)$ in terms of other parameters as

$\displaystyle \left(\frac{1}{W_a}-\frac{1}{W_b}\right) = -\cfrac{\ln\left(\cfrac{T_{a2}-T_{b1}}{T_{a1}-T_{b2}}\right)}{h_0\pi DL}.$ (18..34)

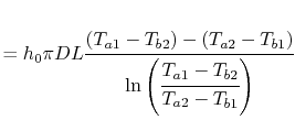
Substituting (18.34) into (18.33) we obtain a final expression for the total heat transfer for a counterflow heat exchanger:

$\displaystyle \dot{Q}$ $\displaystyle = h_0\pi DL \cfrac{(T_{a1} -T_{b2})-(T_{a2}-T_{b1})} {\ln\left(\cfrac{T_{a1}-T_{b2}}{T_{a2}-T_{b1}}\right)}$ (18..35)

or


$\displaystyle \dot{Q}$ $\displaystyle = h_0\pi DL\Delta T_\textrm{LM}.$ (18..36)

This is the generalization (for non-uniform wall temperature) of our result from Section 18.5.1.


18.5.3 Efficiency of a Counterflow Heat Exchanger

Suppose we know only the two inlet temperatures $ T_{a1}$ , $ T_{b1}$ , and we need to find the outlet temperatures. From (18.31),

$\displaystyle T_{a2} - T_{b1}$ $\displaystyle = (T_{a1}-T_{b2})e^{-\alpha}$    

or, rearranging,


$\displaystyle T_{a2} - T_{a1}$ $\displaystyle = T_{b1} - T_{a1} + (T_{a1} - T_{b2})e^{-\alpha}.$ (18..37)

Eliminating $ \dot{Q}$ from (18.32),

$\displaystyle T_{b2} = T_{b1} + \frac{W_a}{W_b}(T_{a1} - T_{a2}).$ (18..38)

We now have two equations, (18.37) and (18.38), and two unknowns, $ T_{a2}$ and $ T_{b2}$ . Solving first for $ T_{a2}$ ,

$\displaystyle T_{a2} - T_{a1} = T_{b1} - T_{a1} + (T_{a1} - T_{b1})e^{-\alpha}-\frac{W_a}{W_b}(T_{a1}-T_{a2})e^{-\alpha}$

$\displaystyle (T_{a1}-T_{a2})\left(1-\frac{W_a}{W_b}e^{-\alpha}\right) = (T_{a1}-T_{b1})(1-e^{-\alpha}).$

or

$\displaystyle (T_{a1} - T_{a2})=\eta (T_{a1} - T_{b1}),$ (18..39)

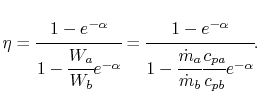
where $ \eta$ is the efficiency of a counterflow heat exchanger:

$\displaystyle \eta = \cfrac{1-e^{-\alpha}}{1-\cfrac{W_a}{W_b}e^{-\alpha}} = \cf...
...-e^{-\alpha}}{1-\cfrac{\dot{m}_a}{\dot{m}_b}\cfrac{c_{pa}}{c_{pb}}e^{-\alpha}}.$ (18..40)

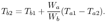
Equation 18.39 gives $ T_{a2}$ in terms of known quantities. We can use this result in (18.38) to find $ T_{b2}$ :

$\displaystyle T_{b2} - T_{b1} = \frac{\dot{m}_a c_{pa}}{\dot{m}_b
c_{pb}}(T_{a1}-T_{a2})=\frac{\dot{m}_a c_{pa}}{\dot{m}_b
c_{pb}}\eta(T_{a1}-T_{b1}).
$

We examine three examples.
  1. $ \dot{m}_b c_{pb} > \dot{m}_a c_{pa}$

    $ \Delta T$ can approach zero at cold end.

    $ \eta \rightarrow 1$ as $ h_0$ , surface area, $ \pi DL
h_0\left(\frac{1}{\dot{m}_a c_{pa}}-\frac{1}{\dot{m}_b
c_{pb}}\right)$ .

    Maximum value of ratio $ \frac{T_{a1}-T_{a2}}{T_{a1}-T_{b1}} = 1$

    Maximum value of ratio $ \frac{T_{b2} -T_{b1}}{T_{a1}-T_{b1}} =
\frac{\dot{m}_a c_{pa}}{\dot{m}_b c_{pb}}$ .

  2. $ \dot{m}_b c_{pb} < \dot{m}_a c_{pa}$

    $ \alpha$ is negative, $ \eta \rightarrow \frac{\dot{m}_b c_{pb}}{\dot{m}_a
c_{pa}}$ as $ [\;]\rightarrow\infty\;(W_b < W_a)$

    Maximum value of ratio $ \frac{T_{a1}-T_{a2}}{T_{a1}-T_{b1}} =
\frac{\dot{m}_b c_{pb}}{\dot{m}_a
c_{pa}}$

    Maximum value of ratio $ \frac{T_{b2} -T_{b1}}{T_{a1}-T_{b1}} =1$ .

  3. $ \dot{m}_b c_{pb} = \dot{m}_a c_{pa}$

    $ d(T_a-T_b) = 0$

    temperature difference remains uniform, $ \eta = 1$ .

UnifiedTP