Burt Rutan's White Knight and SpaceShip One, Photo Courtesy of Scaled Composites
Thermodynamics and Propulsion
Subsections

19.3 Radiation Heat Transfer Between Planar Surfaces

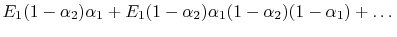
Figure 19.5: Path of a photon between two gray surfaces
Image fig11GraySurfacePhotonPath_web

Consider the two infinite gray surfaces shown in Figure 19.5. We suppose that the surfaces are thick enough so that $ \alpha+ \rho= 1$ (no radiation transmitted so $ \textrm{transmittance } = 0$ ). Consider a photon emitted from Surface 1 (remembering that the reflectance $ \rho = 1
-\alpha$ ):

                        Surface 1 emits         $ E_1$
                        Surface 2 absorbs          $ E_1\alpha_2$
                        Surface 2 reflects          $ E_1(1-\alpha_2)$
                        Surface 1 absorbs          $ E_1(1-\alpha_2)\alpha_1$
                        Surface 1 reflects          $ E_1(1-\alpha_2)(1-\alpha_1)$
                        Surface 2 absorbs          $ E_1(1-\alpha_2)(1-\alpha_1)\alpha_2$
                        Surface 2 reflects          $ E_1(1-\alpha_2)(1-\alpha_1)(1-\alpha_2)$
                        Surface 1 absorbs          $ E_1(1-\alpha_2)(1-\alpha_1)(1-\alpha_2)\alpha_1$
                        ...  
   

The same can be said for a photon emitted from Surface 2:

                        Surface 2 emits         $ E_2$
                        Surface 1 absorbs          $ E_2 \alpha_1$
                        Surface 1 reflects          $ E_2 (1 -\alpha_1)$
                        Surface 2 absorbs          $ E_2 (1
-\alpha_1)\alpha_2$
                        Surface 2 reflects          $ E_2 (1-\alpha_1)(1-\alpha_2)$
                        ...  
   

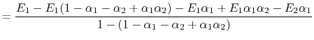
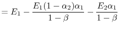
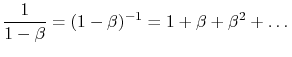
We can add up all the energy $ E_1$ absorbed in 1 and all the energy $ E_2$ absorbed in 2. In doing the bookkeeping, it is helpful to define $ \beta =(1-\alpha_1)(1 -\alpha_2)$ . The energy $ E_1$ absorbed in 1 is

$\displaystyle E_1(1-\alpha_2)\alpha_1 + E_1( 1-\alpha_2)\alpha_1(1 -\alpha_2)(1 -\alpha_1)+\dots$

This is equal to

$\displaystyle E_1(1 -\alpha_2)\alpha_1(1 +\beta+\beta^2 + \dots).$

However

$\displaystyle \frac{1}{1-\beta} =(1 -\beta)^{-1} = 1 +\beta+\beta^2 +\dots$

We thus observe that the radiation absorbed by surface 1 can be written as

$\displaystyle \frac{E_1(1 -\alpha_2)\alpha_1}{1-\beta}.$

Likewise

$\displaystyle \frac{E_2(1 -\alpha_1)\alpha_2}{1-\beta}$

is the radiation generated at 2 and absorbed there as well. Putting this all together we find that

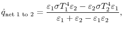
$\displaystyle E_2 - \left(\frac{E_2(1-\alpha_1)\alpha_2}{1-\beta}\right) =\frac{E_2\alpha_1}{1-\beta}$

is absorbed by 1. The net heat flux from 1 to 2 is

$\displaystyle \dot{q}_\textrm{net 1 to 2}$ $\displaystyle = E_1 - \frac{E_1(1-\alpha_2)\alpha_1}{1-\beta} -\frac{E_2\alpha_1}{1-\beta}$    
  $\displaystyle =\frac{E_1-E_1(1-\alpha_1-\alpha_2+\alpha_1\alpha_2)-E_1\alpha_1+E_1\alpha_1\alpha_2 -E_2\alpha_1}{1-(1-\alpha_1-\alpha_2+\alpha_1\alpha_2)}$    

or


$\displaystyle \dot{q}_\textrm{net 1 to 2}$ $\displaystyle =\frac{E_1\alpha_2-E_2\alpha_1}{\alpha_1+\alpha_2-\alpha_1\alpha_2}.$ (19..2)

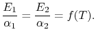
If $ T_1 =T_2$ , we would have $ \dot{q}= 0$ , so from Equation 19.2,

$\displaystyle \frac{E_1}{\alpha_1} = \frac{E_2}{\alpha_2} = f(T).$

If body 2 is black, $ \alpha_2 = 1$ , and $ E_2 = \sigma T^4$ .

$\displaystyle \frac{E_1}{\alpha_1} =\sigma T^4,$

$\displaystyle \frac{\varepsilon_1\sigma T^4}{\alpha_1}=\sigma T^4.$

Therefore, again, $ \varepsilon_1 =\alpha_1$ for any gray surface (Kirchhoff's Law).

Using Kirchhoff's Law we find,

$\displaystyle \dot{q}_\textrm{net 1 to 2}
=\frac{\varepsilon_1\sigma T_1^4\vare...
...a
T_2^4\varepsilon_1}
{\varepsilon_1+\varepsilon_2-\varepsilon_1\varepsilon_2},$

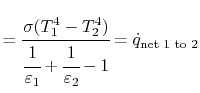
or, as the final expression for heat transfer between gray, planar, surfaces,

$\displaystyle \dot{q}_\textrm{net 1 to 2}=\cfrac{\sigma(T_1^4-T_2^4)}{\cfrac{1}{\varepsilon_1}+\cfrac{1}{\varepsilon_2}-1}.$ (19..3)

19.3.1 Example 1: Use of a thermos bottle to reduce heat transfer

Figure 19.6: Schematic of a thermos wall
Image fig11Thermos_web

$ \varepsilon_1 = \varepsilon_2 = 0.02$ for silvered walls. $ T_1 =
100^\circ\textrm{C} = 373\textrm{ K}$ ; $ T_2 = 20^\circ\textrm{C} =
293\textrm{ K}$ .

$\displaystyle \dot{q}_\textrm{net 1 to 2}$ $\displaystyle =\cfrac{\sigma(T_1^4-T_2^4)}{\cfrac{1}{\varepsilon_1}+\cfrac{1}{\varepsilon_2}-1}= \dot{q}_\textrm{net 1 to 2}$    
  $\displaystyle =\cfrac{(5.67\times10^{-8}\textrm{ W/m\textsuperscript{2}K\textsu...
...)^4)}{\cfrac{1}{0.02}+\cfrac{1}{0.02}-1} = 6.9\textrm{ W/m\textsuperscript{2}}.$    

For the same $ \Delta T$ , if we had cork insulation with $ k =
0.04\textrm{ W/m-K}$ , what thickness would be needed?

$ \dot{q} = \frac{k\Delta T}{L}$ so a thickness $ L = \frac{k\Delta
T}{\dot{q}} = \frac{(0.04\textrm{ W/m-K})(80\textrm{
K})}{6.9\textrm{ W/m\textsuperscript{2}}} = 0.47\textrm{ m}$ would be needed! The thermos is indeed a good insulator.


19.3.2 Example 2: Temperature measurement error due to radiation heat transfer

Figure 19.7: Thermocouple used to measure temperature. Note: The measured voltage is related to the difference between $ T_1$ and $ T_2$ (the latter is a known temperature).
Image fig11Thermocouple_web

Thermocouples (see Figure 19.7) are commonly used to measure temperature. There can be errors due to heat transfer by radiation. Consider a black thermocouple in a chamber with black walls.

Suppose the air is at $ 20^\circ\textrm{C}$ , the walls are at $ 100^\circ\textrm{C}$ , and the convective heat transfer coefficient is $ h = 15\textrm{ W/m\textsuperscript{2}K}$ .

What temperature does the thermocouple read?

Figure 19.8: Effect of radiation heat transfer on measured temperature
Image fig11ThermocoupleRadiation_web

We use a heat (energy) balance on the control surface shown in Figure 19.8. The heat balance states that heat convected away is equal to heat radiated into the thermocouple in steady state. (Conduction heat transfer along the thermocouple wires is neglected here, although it would be included for accurate measurements.)

The heat balance is

$\displaystyle hA(T_\textrm{tc}-T_\textrm{air})=\sigma A(T_\textrm{wall}^4 - T_\textrm{tc}^4),$

where $ A$ is the area of the thermocouple. Substituting the numerical values gives

$\displaystyle (15\textrm{ W/m\textsuperscript{2}-K}) (T_\textrm{tc} - 293\textr...
...textsuperscript{2}K\textsuperscript{4}})((373\textrm{ K})^4 -
T_\textrm{tc}^4),$

from which we find $ T_\textrm{tc} =
51^\circ\textrm{C} = 324\textrm{ K}$ . The thermocouple thus sees a higher temperature than the air. We could reduce this error by shielding the thermocouple as shown in Figure 19.9.

Figure 19.9: Shielding a thermocouple to reduce radiation heat transfer error
Image fig11ThermocoupleShielded_web





Muddy Points

Which bodies does the radiation heat transfer occur between in the thermocouple?(MP 19.1)

Still muddy about thermocouples. (MP 19.2)

Why does increasing the local flow velocity decrease the temperature error for the thermocouple? (MP 19.3)

UnifiedTP