Burt Rutan's White Knight and SpaceShip One, Photo Courtesy of Scaled Composites
Thermodynamics and Propulsion
Subsections


11.7 Performance of Propellers

In this section we will examine propeller engines. Examples of propeller-powered vehicles are shown in Figures 11.22 and 11.23.

Figure 11.22: Cessna Skyhawk single engine propeller plane (Cessna, 2000)
Image fig7CessnaSkyhawk_web

Figure 11.23: The V-22 Osprey utilizes tiltrotor technology (Boeing, 2000)
Image fig7BoeingV22Osprey_web

11.7.1 Overview of propeller performance

Each propeller blade is a rotating airfoil which produces lift and drag, and because of a (complex helical) trailing vortex system has an induced upwash and an induced downwash. Figure 11.24 shows a schematic of a propeller.

Figure 11.24: Schematic of propeller (McCormick, 1979)
Image fig7PropellerCartoon_web

The two quantities of interest are the thrust ($ T$ )11.1 and the torque ($ Q$ ). We can write expressions for these for a small radial element ($ dr$ ) on one of the blades:

$\displaystyle dT = dL\cos(\phi + \alpha_i)- dD\sin(\phi+\alpha_i)$    

$\displaystyle dQ = r[dL\sin(\phi + \alpha_i)+ dD\cos(\phi +\alpha_i)],$    

where

$\displaystyle dL = \frac{1}{2}\rho V_e^2 c C_l dr$    

and

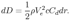
$\displaystyle dD = \frac{1}{2}\rho V_e^2 c C_d dr.$    

It is possible to integrate the relationships as a function of $ r$ with the appropriate lift and drag coefficients for the local airfoil shape, but determining the induced upwash ($ \alpha_i$ ) is difficult because of the complex helical nature of the trailing vortex system. In order to learn about the details of propeller design, it is necessary to do this. However, for our purposes, we can learn about the overall performance features using the integral momentum theorem, some further approximations called ``actuator disk theory,'' and dimensional analysis.

11.7.2 Application of the Integral Momentum Theorem to Propellers

Figure 11.25: Control volume for analysis of a propeller (McCormick, 1979)
Image fig7CtrlVolumePropeller_web

The control volume shown in Figure 11.25 has been drawn far enough from the device so that the pressure is everywhere equal to a constant. This is not required, but it makes it more convenient to apply the integral momentum theorem. We will also assume that the flow outside of the propeller streamtube does not have any change in total pressure. Then since the flow is steady we apply:

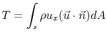
$\displaystyle \sum F_x = \int_s u_x \rho \vec{u}\cdot\vec{n} ds$    

Since the pressure forces everywhere are balanced, then the only force on the control volume is due to the change in momentum flux across its boundaries. Thus by inspection, we can say that

$\displaystyle T = \dot{m}(u_e - u_0).$    

We can arrive at the same result in a step-by-step manner as we did for the jet engine example previously:

$\displaystyle T= \int_s \rho u_x (\vec{u}\cdot\vec{n})dA$    

$\displaystyle \int_s \rho u_x \vec{u}\cdot\vec{n}dA$ $\displaystyle = \underbrace{\rho_e u_e A_e}_{\dot{m}} u_e - \underbrace{\rho_0 u_0 A_0}_{\dot{m}}u_0 + \int_{C_s-A_0-A_e}\rho u_x \vec{u}\cdot\vec{n}dA$    
  $\displaystyle =\dot{m}u_e - \dot{m}u_0 +\vec{u}_0\int_{C_s-A_0-A_e}\rho \vec{u}\cdot\vec{n}dA.$    

Note that the last term is identically equal to zero by conservation of mass. If the mass flow in and out of the propeller streamtube are the same (as we have defined), then the net mass flux into the rest of the control volume must also be zero.

So we have:

$\displaystyle T = \dot{m}(u_e - u_0),$    

as we reasoned before. The power expended is equal to the power imparted to the fluid which is the change in kinetic energy of the flow as it passes through the propeller,

$\displaystyle \textrm{power imparted to the fluid} = \dot{m}\left(\frac{u_e^2}{2}-\frac{u_0^2}{2}\right).$    

The propulsive power - the rate at which useful work is done - is the thrust multiplied by the flight velocity:

$\displaystyle \textrm{propulsive power} = \textrm{thrust}\times \textrm{flight velocity} = T u_0$    

The propulsive efficiency is then the ratio of these two:

$\displaystyle \eta_{\textrm{prop}} = \cfrac{2}{1 + \cfrac{u_e}{u_0}}.$    

This is the same expression as we arrived at before for the jet engine (as you might have expected).


11.7.3 Actuator Disk Theory

To understand more about the performance of propellers, and to relate this performance to simple design parameters, we will apply actuator disk theory. We model the flow through the propeller as shown in Figure 11.26 and make the following assumptions:

  1. Neglect rotation imparted to the flow.
  2. Assume the Mach number is low so that the flow behaves as an incompressible fluid.
  3. Assume the flow outside the propeller streamtube has constant stagnation pressure (no work is imparted to it).
  4. Assume that the flow is steady. Smear out the moving blades so they are one thin steady disk that has approximately the same effect on the flow as the moving blades (the ``actuator disk'').
  5. Across the actuator disk, assume that the pressure changes discontinuously, but the velocity varies in a continuous manner.

Figure 11.26: Schematic of actuator disk model (Kerrebrock).
Image fig7ActuatorDisk_web

We then take a control volume around the disk as shown in Figure 11.27.

Figure 11.27: Control volume around actuator disk.
Image fig7ActuatorDiskCtrlVolume_web

The force, $ T$ , on the disk is

$\displaystyle T = A_{\textrm{disk}}(p_2 - p_1),$    

so the power is

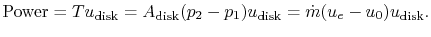
$\displaystyle \textrm{Power} = T u_{\textrm{disk}} = A_{\textrm{disk}}(p_2 - p_1) u_{\textrm{disk}} = \dot{m}(u_e - u_0)u_{\textrm{disk}}.$    

We also know that the power is

$\displaystyle \textrm{Power} = \dot{m}\left(\frac{u_e^2-u_0^2}{2}\right) = \dot{m}(u_e-u_0)\frac{(u_e+u_0)}{2}.$    

Thus we see that the velocity at the disk is

$\displaystyle u_{\textrm{disk}} = \frac{(u_e + u_0)}{2}.$    

Half of the axial velocity change occurs upstream of the disk and half occurs downstream of the disk.

We can now find the pressure upstream and downstream of the disk by applying the Bernoulli equation in the regions of the flow where the pressure and velocity are varying continuously:

$\displaystyle p_1 + \frac{1}{2} \rho u_{\textrm{disk}}^2$ $\displaystyle = p_0 +\frac{1}{2}\rho u_0^2$    

and


$\displaystyle p_2 + \frac{1}{2} \rho u_{\textrm{disk}}^2$ $\displaystyle = p_0 +\frac{1}{2}\rho u_e^2,$    

from which we can determine

$\displaystyle p_1 - p_2 = \frac{1}{2}\rho(u_e^2-u_0^2)$    

We generally don't measure or control $ u_{\textrm{disk}}$ directly. Therefore, it is more useful to write our expressions in terms of flight velocity $ u_0$ , thrust, $ T$ , (which must equal drag for steady level flight) and propeller disk area, $ A_{\textrm{disk}}$ .

$\displaystyle \dot{m} = \rho u_{\textrm{disk}}A_{\textrm{disk}} = \rho A_{\textrm{disk}}\frac{(u_e+u_0)}{2},$    

so

$\displaystyle T = \rho A_{\textrm{disk}}\frac{(u_e + u_0)}{2}(u_e-u_0)= \rho A_{\textrm{disk}}\frac{(u_e^2 - u_0^2)}{2},$    

from which we can obtain an expression for the exit velocity in terms of thrust and flight velocity, which are vehicle parameters:

$\displaystyle \left(\frac{u_e}{u_0}\right)^2 = \cfrac{T}{A_{\textrm{disk}}u_0^2\cfrac{\rho}{2}}+1.$    

The other parameters of interest become

$\displaystyle \frac{u_{\textrm{disk}}}{u_0} = \frac{1}{2}\left[\cfrac{T}{A_{\textrm{disk}}u_0^2\cfrac{\rho}{2}}+1\right]^{\frac{1}{2}}+\frac{1}{2}$    

and

$\displaystyle \textrm{Power} = T u_{\textrm{disk}} = \frac{1}{2} T u_0\left[\le...
...frac{T}{A_{\textrm{disk}}u_0^2\cfrac{\rho}{2}}+1\right)^{\frac{1}{2}}+1\right].$    

This is the ideal (minimum) power required to drive the propeller. In general, the actual power required would be about 15% greater than this. Lastly, the propulsive efficiency is

$\displaystyle \eta_{\textrm{propulsive}} = \cfrac{2}{1+\left(\cfrac{T}{A_{\textrm{disk}}u_0^2\cfrac{\rho}{2}}+1\right)^{\frac{1}{2}}}.$    

There are several important trends that are apparent upon consideration of these equations. We see that the propulsive efficiency is zero when the flight velocity is zero (no useful work, just a force), and tends towards one when the flight velocity increases. In practice, the propulsive efficiency typically peaks at a level of around 0.8 for a propeller before various aerodynamic effects act to decay its performance as will be shown in the following section.


11.7.4 Dimensional Analysis

We will now use dimensional analysis to arrive at a few important parameters for the design and choice of a propeller. Dimensional analysis leads to a number of coefficients which are useful for presenting performance data for propellers.


Table 11.2: Propeller Parameters and their Units
Parameter Symbol Units
propeller diameter D m
propeller speed n rev/s
torque Q Nm
thrust T N
fluid density $ \rho$ kg/m3
fluid viscosity $ \mu$ m2/s
fluid bulk elasticity modulus K N/m2
flight velocity $ u_0$ m/s


11.7.4.1 Thrust Coefficient

$\displaystyle T = f(D; n; \rho; \nu; K; u_0) = \textrm{constant}\times D^a n^b ƒ\rho^c \nu^d K^e u_0^f.$    

Then putting this in dimensional form

$\displaystyle [MLT^{-2}] = [(L)^a(T)^{-b}(ML^{-3})^c(L^2T^{-1})^d(ML^{-1}T^{-2})^e(LT^{-1})^f],$    

where $ M$ is a unit of mass, $ L$ is a unit of length, and here $ T$ is a unit of time. Dimensional consistency requires

$\displaystyle (M) \qquad 1$ $\displaystyle = c+ e$    
$\displaystyle (L) \qquad 1$ $\displaystyle = a - 3c + 2d - e + f$    
$\displaystyle (T) \qquad 2$ $\displaystyle = b + d + 2e + f$    

So

$\displaystyle a$ $\displaystyle = 4 - 2e - 2d - f$    
$\displaystyle b$ $\displaystyle = 2 - d - 2e - f$    
$\displaystyle c$ $\displaystyle = 1 - e$    

$\displaystyle T$ $\displaystyle = \textrm{constant}\times D^{4-2e-2d-f} n^{2-d-2e-f} \rho^{1-e} \nu^d K^e u_0^f$    
$\displaystyle T$ $\displaystyle = \textrm{constant}\times \rho n^2 D^4 \times\textrm{function of}...
...^d;\left(\frac{K}{\rho D^2 n^2}\right)^e;\left(\frac{u_0}{D n}\right)^f\right].$    

We can now consider the three terms in the square brackets.

$\displaystyle \frac{\nu}{D^2 n}:\qquad$ $\displaystyle \textrm{$Dn$ is proportional to the tip speed, so this term is l...
...\frac{\nu}{\textrm{length}\times\textrm{velocity}}\propto\frac{1}{\textrm{Re}};$    
$\displaystyle \frac{K}{\rho D^2 n^2}:\qquad$ $\displaystyle \textrm{$K/\rho = a^2$ where $a$ is the speed of sound, this is like} \frac{a^2}{\textrm{tip speed}^2}\propto\frac{1}{M_{\textrm{tip}}^2};$    
$\displaystyle \frac{u_0}{D n}:\qquad$ $\displaystyle \textrm{$u_0/n$ is the distance advanced by the propeller in one revolution,}$    
$\displaystyle \quad$ $\displaystyle \textrm{here non-dimensionalized by propeller diameter.}$    

This last coefficient is typically called the advance ratio and given the symbol $ J$ . Thus we see that the thrust may be written as

$\displaystyle T =\textrm{constant}\times \rho n^2 D^4\times \textrm{function}[\textrm{Re};M_{\textrm{tip}}; J]$    

which is often expressed as

$\displaystyle T = k_T \rho n^2 D^4,$    

where $ k_T$ is called the thrust coefficient and in general is a function of propeller design, Re, $ M_{\textrm{tip}}$ and $ J$ .


11.7.4.2 Torque Coefficient

We can follow the same steps to arrive at a relevant expression and functional dependence for the torque or apply physical reasoning. Since torque is a force multiplied by a length, it follows that

$\displaystyle Q = k_Q \rho n^2 D^5,$    

where $ k_Q$ is called the torque coefficient and in general is a function of propeller design, Re, $ M_{\textrm{tip}}$ , and $ J$ .


11.7.4.3 Efficiency

The power supplied to the propeller is $ P_{\textrm{in}}$ where

$\displaystyle P_{\textrm{in}} = 2\pi n Q.$    

The useful power output is $ P_{\textrm{out}}$ where

$\displaystyle P_{\textrm{out}} = Tu_0.$    

Therefore the efficiency is given by

$\displaystyle \eta_{\textrm{prop}} = \frac{T u_0}{2\pi n Q} = \frac{k_T \rho n^2 D^4 u_0}{k_Q \rho n^2 D^5 2\pi n} = \frac{1}{2\pi}\frac{k_T}{k_Q}J.$    


11.7.4.4 Power Coefficient

The power required to drive the propeller is

$\displaystyle P_{\textrm{in}} = 2\pi n Q = 2 \pi n(k_Q \rho n^2 D^5) = 2 \pi \rho k_Q n^3 D^5,$    

which is often written using a power coefficient $ C_{\textrm{pow}} =
2\pi k_Q$ ,

$\displaystyle P_{\textrm{in}} = C_{\textrm{pow}}\rho n^3 D^5\qquad \textrm{then} \qquad \eta_{\textrm{prop}} = J\left(\frac{k_T}{C_{\textrm{pow}}}\right).$    

11.7.4.5 Typical propeller performance

Typical propeller performance curves are shown in Figures 11.28, 11.29, and 11.30.

Figure 11.28: Typical propeller efficiency curves as a function of advance ratio ($ J=u_0/nD$ ) and blade angle (McCormick, 1979).
Image fig7PropEta_web

Figure 11.29: Typical propeller thrust curves as a function of advance ratio ($ J=u_0/nD$ ) and blade angle (McCormick, 1979).
Image fig7PropThrust_web

Figure 11.30: Typical propeller power curves as a function of advance ratio ($ J=u_0/nD$ ) and blade angle (McCormick, 1979).
Image fig7PropPower_web

UnifiedTP