Burt Rutan's White Knight and SpaceShip One, Photo Courtesy of Scaled Composites
Thermodynamics and Propulsion
Subsections


14.3 Rocket Nozzles: Connection of Flow to Geometry

We have considered the overall performance of a rocket and seen that is directly dependent on the exit velocity of the propellant. Further, we have used the steady flow energy equation to determine the exhaust velocity using the combustion chamber conditions and the nozzle exit pressure. In this brief section, we will apply concepts from thermodynamics and fluids to relate geometrical (design) parameters for a rocket nozzle to the exhaust velocity.

We will make the following assumptions:

  1. The propellant gas obeys the ideal gas law;
  2. The specific heat is constant;
  3. The flow in the nozzle is one-dimensional;
  4. There are no losses due to friction;
  5. There is no heat transfer;
  6. The flow velocity in the combustion chamber is negligible (zero); and
  7. The flow is steady.

14.3.1 Quasi-one-dimensional compressible flow in a variable area duct

Here we will use the ideal gas law,

$\displaystyle p = \rho RT,$    

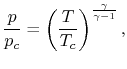
and this expression for an isentropic flow,

$\displaystyle \frac{p}{p_c}=\left(\frac{T}{T_c}\right)^{\frac{\gamma}{\gamma-1}},$    

where $ c$ will be used to refer to a chamber upstream of the duct. The first law for steady flow from $ c$ can be written in terms of Mach number as

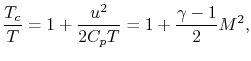
$\displaystyle \frac{T_c}{T} = 1 + \frac{u^2}{2 C_p T} = 1 + \frac{\gamma - 1}{2}M^2,$    

where it has been assumed that the velocity at $ c$ is small. From these latter two equations it follows that

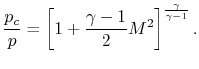
$\displaystyle \frac{p_c}{p} = \left[1 + \frac{\gamma-1}{2}M^2\right]^{\frac{\gamma}{\gamma-1}}.$    

Conservation of mass states

$\displaystyle \dot{m}$ $\displaystyle = \rho u A,$    

and can be combined with the ideal gas law to produce


$\displaystyle \dot{m}$ $\displaystyle = \frac{p}{R T} u A.$    

All of these expressions can be combined to produce

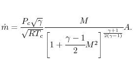
$\displaystyle \dot{m} = \frac{P_c \sqrt{\gamma}}{\sqrt{R T_c}} \cfrac{M}{\left[1 + \cfrac{\gamma-1}{2}M^2\right]^{\frac{\gamma+1}{2(\gamma-1)}}}A.$    

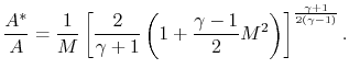
The above equation relates the flow area, the mass flow, the Mach number and the stagnation conditions (conditions at $ c$ ). It is frequently rewritten in a non-dimensional form by dividing through by the value at $ M=1$ (where the area at $ M=1$ is $ A^*$ ):

$\displaystyle \frac{A^*}{A}=\frac{1}{M}\left[\frac{2}{\gamma+1}\left(1 + \frac{\gamma-1}{2}M^2\right)\right]^{\frac{\gamma+1}{2(\gamma-1)}}.$    

This equation takes a form something like that shown in Figure 14.4.

Figure 14.4: General form of relationship between flow area and Mach number.
Image fig6AStarM_web

14.3.2 Thrust in terms of nozzle geometry

We can use these equations to rewrite our expression for rocket thrust in terms of nozzle geometry ( $ \textrm{throat area} = A^*$ ), and exit area, $ A_e$ . From before,

$\displaystyle F = \dot{m} u_e + A_e (p_e - p_0),$    

where

$\displaystyle \dot{m} = \frac{p}{R T} u A.$    

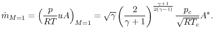
Evaluating the mass flow at the throat, where $ M=1$ ,

$\displaystyle \dot{m}_{M=1} = \left(\frac{p}{R T}uA\right)_{M=1} = \sqrt{\gamma...
...{2}{\gamma+1}\right)^{\frac{\gamma+1}{2(\gamma-1)}}\frac{p_c}{\sqrt{R T_c}}A^*.$    

The other terms in the thrust equation can be written in terms of chamber and exit conditions:

$\displaystyle u_e = M_e \sqrt{\gamma R T_e} = M_e\sqrt{\gamma R T_c\left(\cfrac{1}{1+\cfrac{\gamma-1}{2}M_e^2}\right)},$    

and

$\displaystyle \frac{P_e}{P_c} = \cfrac{1}{\left[1+\cfrac{\gamma-1}{2}M_e^2\right]^{\frac{\gamma}{\gamma-1}}}.$    

We can now specify geometry ($ A^*$ and $ A_e$ ) to determine $ M_e$ , and then use $ M_e$ with the combustion chamber conditions to determine thrust and Isp.
UnifiedTP