Burt Rutan's White Knight and SpaceShip One, Photo Courtesy of Scaled Composites
Thermodynamics and Propulsion
Subsections

1.3 Changing the State of a System with Heat and Work

Changes in the state of a system are produced by interactions with the environment through heat and work, which are two different modes of energy transfer. During these interactions, equilibrium (a static or quasi-static process) is necessary for the equations that relate system properties to one-another to be valid.


1.3.1 Heat

Heat is energy transferred due to temperature differences only.
  1. Heat transfer can alter system states;
  2. Bodies don't ``contain'' heat; heat is identified as it comes across system boundaries;
  3. The amount of heat needed to go from one state to another is path dependent;
  4. Adiabatic processes are ones in which no heat is transferred.


1.3.2 Zeroth Law of Thermodynamics

With the material we have discussed so far, we are now in a position to describe the Zeroth Law. Like the other laws of thermodynamics we will see, the Zeroth Law is based on observation. We start with two such observations:

  1. If two bodies are in contact through a thermally-conducting boundary for a sufficiently long time, no further observable changes take place; thermal equilibrium is said to prevail.
  2. Two systems which are individually in thermal equilibrium with a third are in thermal equilibrium with each other; all three systems have the same value of the property called temperature.

These closely connected ideas of temperature and thermal equilibrium are expressed formally in the ``Zeroth Law of Thermodynamics:''

Zeroth Law: There exists for every thermodynamic system in equilibrium a property called temperature. Equality of temperature is a necessary and sufficient condition for thermal equilibrium.

The Zeroth Law thus defines a property (temperature) and describes its behavior1.3.

Note that this law is true regardless of how we measure the property temperature. (Other relationships we work with will typically require an absolute scale, so in these notes we use either the Kelvin $ K = 273.15+ ^\circ C$ or Rankine $ R = 459.9 + ^\circ F$ scales. Temperature scales will be discussed further in Section 6.2.) The zeroth law is depicted schematically in Figure 1.8.

Figure 1.8: The zeroth law schematically
Image fig2ThermometerEquilibrium_web

1.3.3 Work

[VW, S & B: 4.1-4.6]

Section 1.3.1 stated that heat is a way of changing the energy of a system by virtue of a temperature difference only. Any other means for changing the energy of a system is called work. We can have push-pull work (e.g. in a piston-cylinder, lifting a weight), electric and magnetic work (e.g. an electric motor), chemical work, surface tension work, elastic work, etc. In defining work, we focus on the effects that the system (e.g. an engine) has on its surroundings. Thus we define work as being positive when the system does work on the surroundings (energy leaves the system). If work is done on the system (energy added to the system), the work is negative.

Consider a simple compressible substance, for example, a gas (the system), exerting a force on the surroundings via a piston, which moves through some distance, $ l$ (Figure 1.9). The work done on the surroundings, $ W_{\textrm{on surr.}}$ , is

$\displaystyle dW_{\textrm{on surr.}}$ $\displaystyle = \textrm{Force on surr.} \times dl$    
$\displaystyle dW_{\textrm{on surr.}}$ $\displaystyle = \frac{\textrm{Force on surr.}}{\textrm{Area}}\times (\textrm{Area} \times dl)$    
$\displaystyle dW_{\textrm{on surr.}}$ $\displaystyle = \textrm{pressure of surr.} \times d\textrm{Volume}$    
$\displaystyle dW_{\textrm{on surr.}}$ $\displaystyle = p_x\times dV$    

therefore


$\displaystyle W_{\textrm{on surr.}}$ $\displaystyle = \int_{V_1}^{V_2}p_x dV.$    

Why is the pressure $ p_x$ instead of $ p_s$ ? Consider $ p_x = 0$ (vacuum). No work is done on the surroundings even though $ p_s$ changes and the system volume changes.

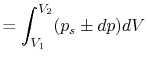
Use of $ p_x$ instead of $ p_s$ is often inconvenient because it is usually the state of the system that we are interested in. The external pressure can only be related to the system pressure if $ p_x \approx p_s$ . For this to occur, there cannot be any friction, and the process must also be slow enough so that pressure differences due to accelerations are not significant. In other words, we require a ``quasi-static'' process, $ p_s
\approx p_x$ . Consider $ p_x = p_s
\pm dp$ .

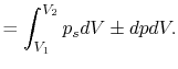
$\displaystyle W$ $\displaystyle = \int_{V_1}^{V_2} p_x dV$ $\displaystyle = \int_{V_1}^{V_2}(p_s \pm dp)dV$ $\displaystyle = \int_{V_1}^{V_2}p_sdV \pm dpdV.$    

Therefore, when $ dp$ is small (the process is quasi-static),


$\displaystyle W$ $\displaystyle = \int_{V_1}^{V_2}p_sdV,$    

and the work done by the system is the same as the work done on the surroundings.

Under these conditions, we say that the process is ``reversible.'' The conditions for reversibility are that:

  1. If the process is reversed, the system and the surroundings will be returned to the original states.
  2. To reverse the process we need to apply only an infinitesimal $ dp$ . A reversible process can be altered in direction by infinitesimal changes in the external conditions (see Van Ness, Chapter 2).

Remember this result, that we can only relate work done on surroundings to system pressure for quasi-static (or reversible) processes. In the case of a ``free expansion,'' where $ p_x = 0$ (vacuum), $ p_s$ is not related to $ p_x$ (and thus, not related to the work) because the system is not in equilibrium.

We can write the above expression for work done by the system in terms of the specific volume, $ v$ ,

$\displaystyle W =m \int_{v_1}^{v_2}p_s dv.$    

where $ m$ is the mass of the system. Note that if the system volume expands against a force, work is done by the system. If the system volume contracts under a force, work is done on the system.

Figure 1.9: A closed system (dashed box) against a piston, which moves into the surroundings
Image fig2Piston_web

Figure 1.10: Work during an irreversible process $ \neq \int P_sdV.$
Image fig0ReversibleProcessWork_web

For simple compressible substances in reversible processes, the work done can be represented as the area under a curve in a pressure-volume diagram, as in Figure 1.11(a).

Figure 1.11: Work in $ P$ -$ V$ coordinates
[Work is area under curve of $ P(V)$ ] Image fig0WorkIsArea_web [Work depends on path] Image fig0WorkDependsOnPath_web

Key points to note are the following:

  1. Properties only depend on states, but work is path dependent (depends on the path taken between states); therefore work is not a property, and not a state variable.
  2. When we say $ W_{\textrm{1-2}}$ , the work between states 1 and 2, we need to specify the path.
  3. For irreversible (non-reversible) processes, we cannot use $ \int pdV$ ; either the work must be given or it must be found by another method.





Muddy Points

How do we know when work is done? (MP 1.3)

1.3.3.1 Example: Work on Two Simple Paths

Consider Figure 1.12, which shows a system undergoing quasi-static processes for which we can calculate work interactions as $ \int pdV$ .

Figure 1.12: Simple processes
Image fig2PVBox_web

Along Path a: $ W = 2p_0(2V_0 - V_0) = 2p_0 V_0$

Along Path b: $ W = p_0(2V_0 - V_0) = p_0 V_0$





Practice Questions

Given a piston filled with air, ice, a bunsen burner, and a stack of small weights, describe

  1. how you would use these to move along either path a or path b above, and
  2. how you would physically know the work is different along each path.

1.3.3.2 Example: Work Done During Expansion of a Gas

Consider the quasi-static, isothermal expansion of a thermally ideal gas from $ p_1$ , $ V_1$ to $ p_2$ , $ V_2$ , as shown in Figure 1.13. To find the work we must know the path. Is it specified? Yes, the path is specified as isothermal.

Figure 1.13: Quasi-static, isothermal expansion of an ideal gas
Image fig2Isotherm_web

The equation of state for a thermally ideal gas is

$\displaystyle pV = n\mathcal{R}T,$    

where $ n$ is the number of moles, $ \mathcal{R}$ is the Universal gas constant, and $ V$ is the total system volume. We write the work as above, substituting the ideal gas equation of state,

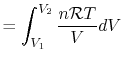
$\displaystyle W$ $\displaystyle = \int_{V_1}^{V_2} \frac{n\mathcal{R}T}{V} dV$ $\displaystyle = n\mathcal{R}T \int_{V_1}^{V_2}\frac{dV}{V}$ $\displaystyle = n\mathcal{R}T \ln\left(\frac{V_2}{V_1}\right)$    

also for $ T = \textrm{constant}$ , $ p_1 V_1 = p_2 V_2$ , so the work done by the system is

$\displaystyle W$ $\displaystyle = n\mathcal{R}T \ln\left(\frac{V_2}{V_1}\right)$ $\displaystyle = n\mathcal{R}T \ln\left(\frac{p_1}{p_2}\right)$    

or in terms of the specific volume and the system mass,

$\displaystyle W$ $\displaystyle = mRT \ln\left(\frac{v_2}{v_1}\right)$ $\displaystyle = mRT \ln\left(\frac{p_1}{p_2}\right).$    

1.3.4 Work vs. Heat - which is which?

We can have one, the other, or both: it depends on what crosses the system boundary (and thus, on how we define our system). For example consider a resistor that is heating a volume of water (Figure 1.14):

Figure 1.14: A resistor heating water
Image fig2Resistor_web

  1. If the water is the system, then the state of the system will be changed by heat transferred from the resistor.
  2. If the system is the water and the resistor combined, then the state of the system will be changed by electrical work.

UnifiedTP