Burt Rutan's White Knight and SpaceShip One, Photo Courtesy of Scaled Composites
Thermodynamics and Propulsion
Subsections


8.3 The Carnot Cycle as a Two-Phase Power Cycle

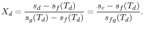
Figure 8.7: Carnot cycle with two-phase medium
[cycle in $ P$ -$ v$ coordinates] Image fig6CarnotTwoPhasePV_web [cycle in $ T$ -$ s$ coordinates] Image fig6CarnotTwoPhaseTS_web [cycle in $ h$ -$ s$ coordinates] Image fig6CarnotTwoPhaseHS_web

A Carnot cycle that uses a two-phase fluid as the working medium is shown below in Figure 8.7. Figure 8.7(a) gives the cycle in $ P$ -$ v$ coordinates, Figure 8.7(b) in $ T$ -$ s$ coordinates, and Figure 8.7(c) in $ h$ -$ s$ coordinates. The boundary of the region in which there is liquid and vapor both present (the vapor dome) is also indicated. Note that the form of the cycle is different in the $ T$ -$ s$ and $ h$ -$ s$ representation; it is only for a perfect gas with constant specific heats that cycles in the two coordinate representations have the same shapes.

The processes in the cycle are as follows:

  1. Start at state $ a$ with saturated liquid (all of mass in liquid condition). Carry out a reversible isothermal expansion to $ b$ ( $ a \rightarrow b$ ) until all the liquid is vaporized. During this process a quantity of heat $ q_H$ per unit mass is received from the heat source at temperature $ T_2$ .
  2. Reversible adiabatic (i.e., isentropic) expansion ( $ b \rightarrow c$ ) lowers the temperature to $ T_1$ . Generally state $ c$ will be in the region where there is both liquid and vapor.
  3. Isothermal compression ( $ c \rightarrow d$ ) at $ T_1$ to state $ d$ . During this compression, heat $ q_L$ per unit mass is rejected to the source at $ T_1$ .
  4. Reversible adiabatic (i.e., isentropic) compression ( $ d \rightarrow a$ ) in which the vapor condenses to liquid and the state returns to $ a$ .

In the $ T$ -$ s$ diagram the heat received, $ q_H$ , is $ abef$ and the heat rejected, $ q_L$ , is $ dcef$ . The net work is represented by $ abcd$ . The thermal efficiency is given by

$\displaystyle \eta = \frac{w_\textrm{net}}{q_H} = \frac{\textrm{Area } abcd}{\textrm{Area }abef} = 1-\frac{T_1}{T_2}.$

In the $ h$ -$ s$ diagram, the isentropic processes are vertical lines as in the $ T$ -$ s$ diagram. The isotherms in the former, however, are not horizontal as they are in the latter. To see their shape we note that for these two-phase processes the isotherms are also lines of constant pressure (isobars), since $ P=P(T)$ . The combined first and second law is

$\displaystyle Tds = dh - \frac{dp}{\rho}.$

For a constant pressure reversible process, $ dq_\textrm{rev} = Tds =
dh$ . The slope of a constant pressure line in $ h$ -$ s$ coordinates is thus,

$\displaystyle \left(\frac{\partial h}{\partial s}\right)_P = T = \textrm{constant; slope of
constant pressure line for two-phase medium}.$

The heat received and rejected per unit mass is given in terms of the enthalpy at the different states as

$\displaystyle q_H$ $\displaystyle = h_b - h_a$    
$\displaystyle q_L$ $\displaystyle = h_d - h_c. \qquad \textrm{(In accord with our convention this is less than zero.)}$    

The thermal efficiency is

$\displaystyle \eta = \frac{w_\textrm{net}}{q_H} = \frac{q_H + q_L}{q_H} = \frac{(h_b - h_a) + (h_d - h_c)}{(h_b - h_a)},$

or, in terms of the work done during the isentropic compression and expansion processes, which correspond to the shaft work done on the fluid and received by the fluid,

$\displaystyle \eta = \frac{(h_b - h_c) - (h_a - h_d)}{(h_b - h_a)}.$

8.3.1 Example: Carnot steam cycle

  • Heat source temperature = $ 300^\circ\textrm{C}$
  • Heat sink temperature = $ 20^\circ\textrm{C}$

What is the (i) thermal efficiency and (ii) ratio of turbine work to compression (pump) work if

  1. all processes are reversible?
  2. the turbine and the pump have adiabatic efficiencies of 0.8?
Neglect the changes in kinetic energy at inlet and outlet of the turbine and pump.

  1. For the reversible cycle,

    $\displaystyle \eta_\textrm{thermal}$ $\displaystyle = \eta_\textrm{Carnot} = 1 -\frac{T_1}{T_2}$    
      $\displaystyle =1-\frac{293\textrm{ K}}{573 \textrm{ K}} = 0. 489.$    

    To find the work in the pump (compression process) or in the turbine, we need to find the enthalpy changes between states $ b$ and $ c$ , $ \Delta h_{bc}$ , and the change between $ a$ and $ d$ , $ \Delta
h_{ad}$ . To obtain these the approach is to use the fact that $ s =
\textrm{ constant}$ during the expansion to find the quality at state $ c$ and then, knowing the quality, calculate the enthalpy as $ h = Xh_g + (1- X) h_f$ . We know the conditions at state $ b$ , where the fluid is all vapor, i.e., we know $ T_b$ , $ h_b$ , $ s_b$ :

    $\displaystyle h_b$ $\displaystyle =h_\textrm{vapor}(300^\circ\textrm{C}) = h_g (300^\circ\textrm{C}) =2749 \textrm{ kJ/kg}$    
    $\displaystyle s_b$ $\displaystyle =s_\textrm{vapor}(300^\circ\textrm{C})=s_g (300^\circ\textrm{C})=5.7045 \textrm{ kJ/kg-K}.$    
    $\displaystyle s_b$ $\displaystyle = s_c \textrm{ in the isentropic expansion process}.$    

    We now need to find the quality at state $ c$ , $ X_c$ . Using the definition of quality given in Section 8.1, and noting that $ s_c =X_c s_g + (1- X_c)s_f$ , we obtain,

    $\displaystyle X_c = \frac{s_c -s_f(T_c)}{s_g(T_c)-s_f(T_c)}=\frac{s_c-s_f(T_c)}{s_{fg}(T_c)}.$

    • The quantity $ s_c$ is the mass-weighted entropy at state $ c$ , which is at temperature $ T_c$ .
    • The quantity $ s_f(T_c)$ is the entropy of the liquid at temperature $ T_c$ .
    • The quantity $ s_g(T_c)$ is the entropy of the gas (vapor) at temperature $ T_c$ .
    • The quantity $ \Delta s_{fg}(T_c) =\Delta s_\textrm{liquid$\rightarrow$gas}$ at $ T_c$ .

    We know:

    $\displaystyle s_c$ $\displaystyle =s_b =5.7045\textrm{ kJ/kg-K},$    
    $\displaystyle s_{fg}$ $\displaystyle =8.3706\textrm{ kJ/kg-K},$    
    $\displaystyle s_f$ $\displaystyle =0.2966\textrm{ kJ/kg -K}.$    

    The quality at state $ c$ is thus,

    $\displaystyle X_c = \frac{5.7045 -0.2966}{8.3706} = 0.646.$

    The enthalpy at state $ c$ is,

    $\displaystyle h_c =X_c h_g + (1- X_c)h_f \quad \textrm{ at }\quad T_c.$

    Substituting the values,

    $\displaystyle h_c$ $\displaystyle =0.646 \times 2538.1\textrm{ kJ/kg} +0.354 \times 83.96\textrm{ kJ/kg}$    
      $\displaystyle = 1669.4 \textrm{ kJ/kg}.$    

    The turbine work/unit mass is the difference between the enthalpy at state $ b$ and state $ c$ ,

    $\displaystyle h_b -h_c =w_\textrm{turbine} =2749 -1669.4 =1079.6 \textrm{ kJ/kg}.$

    We can apply a similar process to find the conditions at state $ d$ :

    $\displaystyle X_d = \frac{s_d -s_f(T_d)}{s_g(T_d)-s_f(T_d)}=\frac{s_c-s_f(T_d)}{s_{fg}(T_d)}.$

    We have given that $ T_c =T_d$ . Also $ s_d =s_a =s_f$ at $ 300^\circ\textrm{C}$ . The quality at state $ d$ is

    $\displaystyle X_d = \frac{3.253 -0.2966}{8.3706}= 0.353 < X_c.$

    The enthalpy at state $ d$ is

    $\displaystyle h_d$ $\displaystyle =X_d h_g + (1- X_d)h_f = 0.353 \times 2538.1\textrm{ kJ/kg} + 0.647 \times 83.96\textrm{ kJ/kg}$    
      $\displaystyle = 950.8\textrm{ kJ/kg}.$    

    The work of compression (pump work) is $ \Delta h_{ad} =h_a -h_d$ . Substituting the numerical values,

    $\displaystyle \Delta h_{ad} = 1344- 950.8 = 393.3 \textrm{ kJ/kg}.$

    The ratio of turbine work to compression work (pump work) is

    $\displaystyle \frac{w_\textrm{turbine}}{w_\textrm{compression}} =2.75.$

    We can check the efficiency by computing the ratio of net work $ (w_\textrm{net} =w_\textrm{turbine} -w_\textrm{compression})$ to the heat input $ ( T_as_{fg})$ . Doing this gives, not surprisingly, the same value as the Carnot equation.

  2. For a cycle with adiabatic efficiencies of pump and turbine both equal to 0.8 (non-ideal components), the efficiency and work ratio can be found as follows.

    We can find the turbine work using the definition of turbine and compressor adiabatic efficiencies. The relation between the enthalpy changes is

    $\displaystyle w_\textrm{turbine} =h_b -h_{c'} =\eta_\textrm{turbine}(h_b -h_c)= \textrm{ actual turbine
work received}.$

    Substituting the numerical values, the turbine work per unit mass is $ 863.7 \textrm{ kJ/kg}$ .

    For the compression process, we use the definition of compressor (or pump) adiabatic efficiency:

    $\displaystyle w_\textrm{compression}$ $\displaystyle = h_{a'}- h_d = \frac{1}{\eta_\textrm{compression}}(h_a - h_d)$    
      $\displaystyle = \textrm{actual work to achieve given pressure difference}$    
      $\displaystyle = 491.6\textrm{ kJ/kg}.$    

    The value of the enthalpy at state $ a'$ is $ 1442.4 \textrm{ kJ/kg}$ . The thermal efficiency is given by

    $\displaystyle \eta_\textrm{thermal}$ $\displaystyle = \frac{w_\textrm{net}}{\textrm{heat input}} = \frac{w_\textrm{turbine} - w_\textrm{compression}}{\textrm{heat input}}$    
      $\displaystyle = \frac{(h_b - h_{c'})-(h_{a'} - h_d)}{(h_b - h_{a'})}.$    

    Substituting the numerical values, we obtain for the thermal efficiency with non-ideal components, $ \eta_\textrm{thermal} =
0.285$

A question arises as to whether the Carnot cycle can be practically applied for power generation. The heat absorbed and the heat rejected both take place at constant temperature and pressure within the two-phase region. These can be closely approximated by a boiler for the heat addition process and a condenser for the heat rejection. Further, an efficient turbine can produce a reasonable approach to reversible adiabatic expansion, because the steam is expanded with only small losses. The difficulty occurs in the compression part of the cycle. If compression is carried out slowly, there is equilibrium between the liquid and the vapor, but the rate of power generation may be lower than desired and there can be appreciable heat transfer to the surroundings. Rapid compression will result in the two phases coming to very different temperatures (the liquid temperature rises very little during the compression whereas the vapor phase temperature changes considerably). Equilibrium between the two phases cannot be maintained and the approximation of reversibility is not reasonable.

Another circumstance is that in a Carnot cycle all the heat is added at the same temperature. For high efficiency we need to do this at a higher temperature than the critical point, so that the heat addition no longer takes place in the two-phase region. Isothermal heat addition under this circumstance is difficult to accomplish. Also, if the heat source and the cycle are considered together, the products of combustion which provide the heat can be cooled only to the highest temperature of the cycle. The source will thus be at varying temperature while the system requires constant temperature heat addition, so there will be irreversible heat transfer. In summary, the practical application of the Carnot cycle is limited because of the inefficient compression process, the low work per cycle, the upper limit on temperature for operation in the two-phase flow regime, and the irreversibility in the heat transfer from the heat source. In the next section, we examine the Rankine cycle, which is much more compatible with the characteristics of two-phase media and available machinery for carrying out the processes.





Muddy Points

What is the reason for studying two-phase cycles? (MP 8.7)

How did you get thermal efficiency? How does a boiler work? (MP 8.8)

UnifiedTP