Fitness of B cells in Germinal Center
The mutating B cell Receptor (BCR) binds to spikes of presented virus:
Fitness of the maturing B cells should increase with receptor affinity ω, as well as a spike density n.
A qualitative (not quantitative) dependence that accounts for saturation is:
![]()
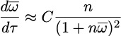
To simplified
equations now lead to
![]()
This equation is easily integrated to yield:

In both the above equation, as well as in detailed agent-based simulations,
affinity increases monotonically with time, but the increase slows down at long times at high spike density.
Too few targets at low density to be productive, too many targets at high density to be competitive.
This is reminiscent of the pioneering work by Herman Eisen that affinity increase was smaller for a high Antigen dose,
suggesting that too high Antigen concentration decreases competition in the Germinal Center.
In a more detailed model, B cell attempts to pull in and digest the virus, with one or both 'hands':

Optimal affinity (and broadest variability) is achieved when target (spike) density is
a fraction of of area spanned by the B cell receptor.