Fitness of B cells in Germinal Center
The mutating B cell Receptor (BCR) binds to spikes of presented virus:

Fitness of the maturing B cells depends on receptor affinity ω, and spike density n, qualitatively as:
![]()
Approximating the affinity distribution by a Gaussian of mean
and variance
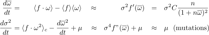
, Price's equation leads to

With these approximations, the equations are easily integrated to yield:

where
, and
.
In the above calculation, as in a more detailed agent based model, affinity is a non-monotonic function of target density:
Optimal affinity is achieved at target (spike) density of less than ~1 per area spanned by the BC:
too few targets at low density to be productive, too many targets at high density to be competitive.
In more detail, B cell attempts to pull in and digest the virus, with one or both hands:

Optimal affinity is achieved at target (spike) density of less than ~1 per area spanned by the B cell receptor.