Life of a Noisy Seascape: Extinction, Growth, and Diversity



Summary
I. Population dynamics: Growth & saturation (logistic to Richards), migration and stochasticity (demographic and seascape)

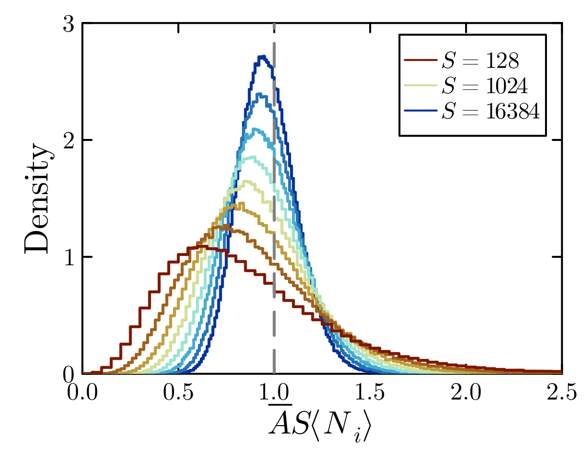
II. Mean field analysis: Self-consistent steady state distributions for a complete graph

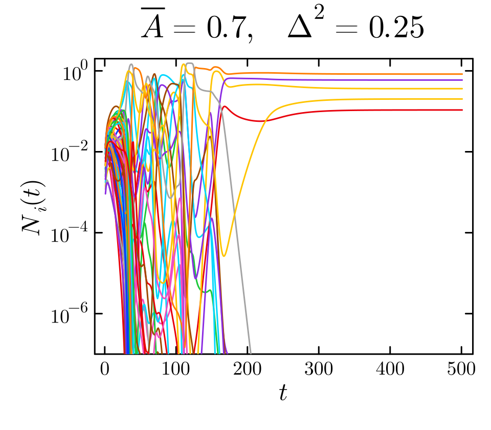
III. Extinction on a seascape: Two universality classes

IV. Growth on a seascape: Richards equation & Taylor's power law

V. Diversity-Stability: Random interaction matrix & Robert May


VI. Coexistence on a seascape: Spatio-temporal noise-induced stability
VI. Phase behavior: Coexistence requires sufficiently large fluctuations
Emergent neutrality: Hubbell's unified netural theory of biodiversity



Bertrand Ottino-Loffler, Daniel Swartz, Amer Al-Hiyasat, Jeff Gore
Ludwig-Maximilians University 32nd Arnold-Sommerfeld-Lectures January 15, 2026