Problems 3.17 - 3.25

3.17 Cauchy random variable We recall from Section 3.3.3 that random variable X1 has a Cauchy pdf if

pg170b.gif (2653 bytes)

a. Suppose that S2 X1 + X2, where X1 and X2 are independent Cauchy random variables, each having pdf fxi(.). Using the integral identity

pg170c.gif (5184 bytes)

show that S2 has a pdf 2/[Pi.gif (60
bytes)(4 + y2)].

b. Proceeding by induction, show that

Sn ident.gif (52 bytes) X1 + X2 + . . . + Xn. (all Xi independent)

has a pdf n / [Pi.gif (60 bytes)(n2 + Y2)].

c. Thus, verify that the average of n independent Cauchy samples (i.e., Vn ident.gif (52 bytes) Sn / n) has a Cauchy pdf 1 / [Pi.gif (60 bytes)(n2 + Y2 )]. Thus, "averaging together" a number of independent Cauchy samples yields a pdf for the average identical to that of any one of the individual samples. (This result contrasts sharply to most random variables, for which averaging of n independent samples reduces the variance by a factor of n^-1.)

3.18 Crofton's method Suppose that X1, and X2 are two points independently uniformly distributed over a highway segment of length a. Define

D^p ident.gif (52 bytes) | X1 - X2| p    p > 0

Use Crofton's method to show that

pg171a.gif (2559 bytes)

3.19 Crofton's method Consider again policeman Jones and burglar Elmer of Problem 3.1. Use Crofton's method to verify that the apprehension probability PA [Problem 3.1(d)] equals (d/ell.gif (55 bytes))[1 - 1/3(d/ell.gif (55 bytes))].

Hint: Here the homogeneous solution of the associated differential equation cannot be discarded.

3.20 Crofton's method Here we wish to apply Crofton's method for finding mean values to the problem of finding the mean Euclidean distance,

 pg171b.gif (3136 bytes)

where (X1, Y1) and (X2, Y2) are uniformly and independently distributed over a circle of radius r. Here, for instance, (X1, Y1) and (X2, Y2) could be the locations of an emergency and a helicopter response unit, respectively, and D would be the travel distance to the emergency.

a. By arguments similar to those used in the text, show that

pg171c.gif (25596 bytes)

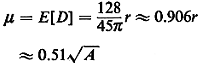
c. Use your results in parts (a) and (b) to obtain

 pg172a.gif (3259 bytes)

where A = Pi.gif (60 bytes)r2 is the area of the circle.

Note: You have just derived one of the constants in Table 3-1.

3.21 Expected values Suppose that two points (X1, Y1) and (X2, Y2) are uniformly and independently distributed over a circle of area A. Assume that the travel distance D between the two points is the right-angle travel distance

D = | X1 - X2| + |Y1 - Y2|

Argue that

pg172b.gif (3280 bytes)

Hint: Consider D to be the product of the Euclidean distance and a scaling factor R, the ratio between the right-angle and Euclidean distances.

3.22 Crofton's method Use Crofton's method to rederive (3.12a) for the mean travel distance of a rectangular response area.

Hint: Points in the infinitesimally thick "frame" surrounding the original rectangle are not indistinguishable, as they are for the circles.

3.23 Coverage; Robbins's theorem on random sets Imagine a square region of a city having unit area. Suppose that there are N ambulettes whose positions are independently and uniformly distributed over a region T consisting of all points in the city whose distance from the square is not greater than a. The area of T is 1 + 4a + Pi.gif (60 bytes)a2. A point in the unit square is said to have sufficient ambulance coverage if at least one ambulance is within a (Euclidean) distance a of the point. Find the expected area within the square which is sufficiently covered.

3.24 Coverage of a square lattice by a rectangle A city's geographical structure is being placed on a computer. All coordinate positions are being' quantized, where the unit of quantization is 500 feet. The quantization points comprise a lattice that runs east-west and north-south. The board of elections wishes to know how many quantization points will be contained in an arbitrary rectangular election district of dimension t (east-west) and m (north-south).
    Assume that the location of the election district on the lattice can be modeled as random (but the sides are parallel to the two directions of the lattice). Let N be the number of lattice points contained within the election district.

a. Show that

E[N] = ell.gif (55 bytes)m

b. Let ell.gif (55 bytes) = p + q, m = P + Q( 0 leq.gif (53 bytes) q, Q < 1). Show that

pg173a.gif (3263 bytes)

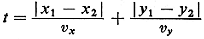
3.25 Spatial Poisson process Suppose that response units are distributed throughout the city as a homogeneous spatial Poisson process, with an average of y response units per square mile. Assume that the travel time between (x1, y1) and (X2, Y2) is

pg173b.gif (2314 bytes)

where vx. and vy are travel speeds in the directions of the abscissa and ordinate, respectively.
    Assume that an incident occurs somewhere in the city, independent of the locations of the response units.

a. Find the pdf for Tk, where

Tk = travel time to the kth nearest response unit, kth = 1, 2, . . .

Hint: The set of points that are a given travel time from the incident is given by a diamond centered at the incident.

b. Find E[Tk] and pg172c.gif
(1014 bytes). and note their functional dependence on k.