Burt Rutan's White Knight and SpaceShip One, Photo Courtesy of Scaled Composites
Thermodynamics and Propulsion
Subsections


3.5 The Internal combustion engine (Otto Cycle)

[VW, S & B: 9.13]

The Otto cycle is a set of processes used by spark ignition internal combustion engines (2-stroke or 4-stroke cycles). These engines a) ingest a mixture of fuel and air, b) compress it, c) cause it to react, thus effectively adding heat through converting chemical energy into thermal energy, d) expand the combustion products, and then e) eject the combustion products and replace them with a new charge of fuel and air. The different processes are shown in Figure 3.8:

  1. Intake stroke, gasoline vapor and air drawn into engine ( $ 5 \rightarrow
1$ ).
  2. Compression stroke, $ p$ , $ T$ increase ( $ 1\rightarrow2$ ).
  3. Combustion (spark), short time, essentially constant volume ( $ 2\rightarrow3$ ). Model: heat absorbed from a series of reservoirs at temperatures $ T_2$ to $ T_3$ .
  4. Power stroke: expansion ( $ 3\rightarrow4$ ).
  5. Valve exhaust: valve opens, gas escapes.
  6. ( $ 4\rightarrow1$ ) Model: rejection of heat to series of reservoirs at temperatures $ T_4$ to $ T_1$ .
  7. Exhaust stroke, piston pushes remaining combustion products out of chamber ( $ 1\rightarrow5$ ).

We model the processes as all acting on a fixed mass of air contained in a piston-cylinder arrangement, as shown in Figure 3.10.

Figure 3.8: The ideal Otto cycle
Image fig5OttoIdeal_web

Figure 3.9: Sketch of an actual Otto cycle
Image fig5OttoReal_web

Figure 3.10: Piston and valves in a four-stroke internal combustion engine
Image fig4OttoPistons_web

The actual cycle does not have the sharp transitions between the different processes that the ideal cycle has, and might be as sketched in Figure 3.9.


3.5.1 Efficiency of an ideal Otto cycle

The starting point is the general expression for the thermal efficiency of a cycle:

$\displaystyle \eta = \frac{\textrm{work}}{\textrm{heat input}} =\frac{Q_H +Q_L}{Q_H} = 1+\frac{Q_L}{Q_H}.$

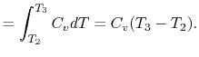
The convention, as previously, is that heat exchange is positive if heat is flowing into the system or engine, so $ Q_L$ is negative. The heat absorbed occurs during combustion when the spark occurs, roughly at constant volume. The heat absorbed can be related to the temperature change from state 2 to state 3 as:

$\displaystyle Q_H$ $\displaystyle =Q_{23} =\Delta U_{23} \qquad (W_{23} =0)$    
  $\displaystyle =\int_{T_2}^{T_3} C_v dT =C_v (T_3 -T_2).$    

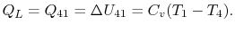
The heat rejected is given by (for a perfect gas with constant specific heats)

$\displaystyle Q_L =Q_{41} =\Delta U_{41} =C_v (T_1 -T_4).$

Substituting the expressions for the heat absorbed and rejected in the expression for thermal efficiency yields

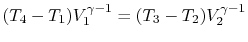
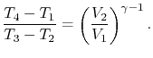
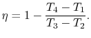
$\displaystyle \eta =1-\frac{T_4 -T_1}{T_3-T_2}.$

We can simplify the above expression using the fact that the processes from 1 to 2 and from 3 to 4 are isentropic:

$\displaystyle T_4 V_1^{\gamma-1} =T_3 V_2^{\gamma-1}, \qquad T_1 V_1^{\gamma-1} =T_2
V_2^{\gamma-1}$

$\displaystyle (T_4 - T_1) V_1^{\gamma-1} = (T_3-T_2)V_2^{\gamma-1}$

$\displaystyle \frac{T_4-T_1}{T_3-T_2} =\left(\frac{V_2}{V_1}\right)^{\gamma-1}.$

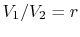
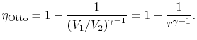
The quantity $ V_1/V_2 =r$ is called the compression ratio. In terms of compression ratio, the efficiency of an ideal Otto cycle is:

$\displaystyle \eta_\textrm{Otto} =
1-\frac{1}{\left(V_1/V_2\right)^{\gamma-1}}=1-\frac{1}{r^{\gamma-1}}.$

Figure 3.11: Ideal Otto cycle thermal efficiency
Image fig5OttoEfficiencyVSCompressionRatio_web

The ideal Otto cycle efficiency is shown as a function of the compression ratio in Figure 3.11. As the compression ratio, $ r$ , increases, $ \eta_\textrm{Otto}$ increases, but so does $ T_2$ . If $ T_2$ is too high, the mixture will ignite without a spark (at the wrong location in the cycle).


3.5.2 Engine work, rate of work per unit enthalpy flux

The non-dimensional ratio of work done (the power) to the enthalpy flux through the engine is given by

$\displaystyle \frac{\textrm{Power}}{\textrm{Enthalpy flux}} = \frac{\dot{W}}{\dot{m}c_p T_1}
=\frac{\dot{Q}_{23}\eta_\textrm{Otto}}{\dot{m}c_pT_1}.$

There is often a desire to increase this quantity, because it means a smaller engine for the same power. The heat input is given by

$\displaystyle \dot{Q}_{23} =\dot{m}_\textrm{fuel} \Delta h_\textrm{fuel},$

where
  • $ \Delta h_\textrm{fuel}$ is the heat of reaction, i.e. the chemical energy liberated per unit mass of fuel,
  • $ \dot{m}_\textrm{fuel}$ is the fuel mass flow rate.
The non-dimensional power is

$\displaystyle \frac{\dot{W}}{\dot{m}c_pT_1}=\frac{\dot{m}_\textrm{fuel}}{\dot{m}}
\frac{\Delta h_\textrm{fuel}}{c_p T_1}\left[1-\frac{1}{r^{\gamma-1}}\right].$

The quantities in this equation, evaluated at stoichiometric conditions are:

$\displaystyle \frac{\dot{m}_\textrm{fuel}}{\dot{m}}$ $\displaystyle \approx \frac{1}{15}$    
$\displaystyle \frac{\Delta h_\textrm{fuel}}{c_p T_1}$ $\displaystyle \approx \frac{4\times10^7}{10^3\times288},$    

so


$\displaystyle \frac{\dot{W}}{\dot{m}c_pT_1}$ $\displaystyle \approx 9\left[1-\frac{1}{r^{\gamma-1}}\right].$    





Muddy Points

How is $ \Delta h_\textrm{fuel}$ calculated? (MP 3.6)

What are ``stoichiometric conditions?'' (MP 3.7)

UnifiedTP