Burt Rutan's White Knight and SpaceShip One, Photo Courtesy of Scaled Composites
Thermodynamics and Propulsion


3.6 Diesel Cycle

The Diesel cycle is a compression ignition (rather than spark ignition) engine. Fuel is sprayed into the cylinder at $ P_2$ (high pressure) when the compression is complete, and there is ignition without a spark. An idealized Diesel engine cycle is shown in Figure 3.12.

Figure 3.12: The ideal Diesel cycle
Image fig5DieselIdeal_web
The thermal efficiency is given by:

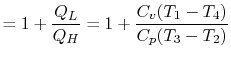
$\displaystyle \eta_\textrm{Diesel}$ $\displaystyle = 1+\frac{Q_L}{Q_H} = 1+\frac{C_v(T_1-T_4)}{C_p(T_3-T_2)}$    
  $\displaystyle = 1-\frac{T_1}{\gamma T_2}\frac{(T_4/T_1-1)}{(T_3/T_2-1)}.$    

This cycle can operate with a higher compression ratio than the Otto cycle because only air is compressed and there is no risk of auto-ignition of the fuel. Although for a given compression ratio the Otto cycle has higher efficiency, because the Diesel engine can be operated to higher compression ratio, the engine can actually have higher efficiency than an Otto cycle when both are operated at compression ratios that might be achieved in practice.





Muddy Points

When and where do we use $ c_v$ and $ c_p$ ? Some definitions use $ dU=c_vdT$ . Is it ever $ dU=c_pdT$ ? (MP 3.8)

Explanation of the above comparison between Diesel and Otto. (MP 3.9)

UnifiedTP