Burt Rutan's White Knight and SpaceShip One, Photo Courtesy of Scaled Composites
Thermodynamics and Propulsion
Subsections

3.7 Brayton Cycle

[VW, S & B: 9.8-9.9, 9.12]

The Brayton cycle (or Joule cycle) represents the operation of a gas turbine engine. The cycle consists of four processes, as shown in Figure 3.13 alongside a sketch of an engine:

  • a - b Adiabatic, quasi-static (or reversible) compression in the inlet and compressor;
  • b - c Constant pressure fuel combustion (idealized as constant pressure heat addition);
  • c - d Adiabatic, quasi-static (or reversible) expansion in the turbine and exhaust nozzle, with which we
    1. take some work out of the air and use it to drive the compressor, and
    2. take the remaining work out and use it to accelerate fluid for jet propulsion, or to turn a generator for electrical power generation;
  • d - a Cool the air at constant pressure back to its initial condition.

Figure 3.13: Sketch of the jet engine components and corresponding thermodynamic states
Image fig1BraytonCycle_web

The components of a Brayton cycle device for jet propulsion are shown in Figure 3.14. We will typically represent these components schematically, as in Figure 3.15. In practice, real Brayton cycles take one of two forms. Figure 3.16(a) shows an ``open'' cycle, where the working fluid enters and then exits the device. This is the way a jet propulsion cycle works. Figure 3.16(b) shows the alternative, a closed cycle, which recirculates the working fluid. Closed cycles are used, for example, in space power generation.

Figure 3.14: Schematics of typical military gas turbine engines. Top: turbojet with afterburning, bottom: GE F404 low bypass ratio turbofan with afterburning (Hill and Peterson, 1992).
Image fig4GEF404Cartoon_web Image fig4GEF404Schematic_web

Figure 3.15: Thermodynamic model of gas turbine engine cycle for power generation
Image fig1BraytonCycleClosed_web

Figure 3.16: Options for operating Brayton cycle gas turbine engines
[Open cycle operation] Image fig5BraytonOpenCycle_web [Closed cycle operation] Image fig5BraytonClosedCycle_web





Muddy Points

Would it be practical to run a Brayton cycle in reverse and use it as refrigerator? (MP 3.10)


3.7.1 Work and Efficiency

The objective now is to find the work done, the heat absorbed, and the thermal efficiency of the cycle. Tracing the path shown around the cycle from $ a$ -$ b$ -$ c$ -$ d$ and back to $ a$ , the first law gives (writing the equation in terms of a unit mass),

$\displaystyle \Delta u_{a\textrm{-}b\textrm{-}c\textrm{-}d\textrm{-}a} = 0 = q_2 + q_1 - w.$

Here $ \Delta u$ is zero because $ u$ is a function of state, and any cycle returns the system to its starting state3.2. The net work done is therefore

$\displaystyle w = q_2 + q_1,$

where $ q_1$ , $ q_2$ are defined as heat received by the system ($ q_1$ is negative). We thus need to evaluate the heat transferred in processes $ b$ -$ c$ and $ d$ -$ a$ .

For a constant pressure, quasi-static process the heat exchange per unit mass is

$\displaystyle dh = c_p dT = dq,\quad\textrm{ or }\quad[dq]_{\textrm{constant P}} = dh.$

We can see this by writing the first law in terms of enthalpy (see Section 2.3.4) or by remembering the definition of $ c_p$ .

The heat exchange can be expressed in terms of enthalpy differences between the relevant states. Treating the working fluid as a perfect gas with constant specific heats, for the heat addition from the combustor,

$\displaystyle q_2 = h_c - h_b = c_p (T_c - T_b ).$

The heat rejected is, similarly,

$\displaystyle q_1 = h_a - h_d = c_p (T_a -
T_d).$

The net work per unit mass is given by

$\displaystyle \textrm{Net work per unit mass }= q_1 + q_2 = c_p [(T_c - T_b)+(T_a - T_d)].$

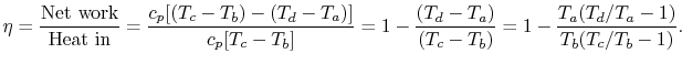
The thermal efficiency of the Brayton cycle can now be expressed in terms of the temperatures:

$\displaystyle \eta = \frac{\textrm{Net work}}{\textrm{Heat in}} = \frac{c_p[(T_...
... = 1 - \frac{(T_d-T_a)}{(T_c-T_b)} = 1 - \frac{T_a(T_d/T_a-1)}{T_b(T_c/T_b-1)}.$ (3..8)

To proceed further, we need to examine the relationships between the different temperatures. We know that points $ a$ and $ d$ are on a constant pressure process as are points $ b$ and $ c$ , and $ P_a =P_d$ ; $ P_b=P_c$ . The other two legs of the cycle are adiabatic and reversible, so

$\displaystyle \frac{P_d}{P_c}=\frac{P_a}{P_b} \qquad \Rightarrow \qquad
\left(\...
...\right)^{\gamma/(\gamma-1)} = \left(\frac{T_a}{T_b}\right)^{\gamma/(\gamma-1)}.$

Therefore $ T_d/T_c = T_a/T_b$ , or, finally, $ T_d/T_a = T_c/T_b$ . Using this relation in the expression for thermal efficiency, Eq. (3.8) yields an expression for the thermal efficiency of a Brayton cycle:

$\displaystyle \textrm{Ideal Brayton cycle efficiency: } \eta_B = 1-\frac{T_a}{T_b}=1-\frac{T_{\textrm{atmospheric}}}{T_{\textrm{compressor exit}}}.$ (3..9)

The temperature ratio across the compressor, $ T_b/T_a =TR$ . In terms of compressor temperature ratio, and using the relation for an adiabatic reversible process we can write the efficiency in terms of the compressor (and cycle) pressure ratio, which is the parameter commonly used:

$\displaystyle \eta_B=1-\frac{1}{TR}=1-\frac{1}{PR^{(\gamma-1)/\gamma}}.$ (3..10)

Figure 3.17: Gas turbine engine pressures and temperatures
Image fig1GasTurbineTemperaturesPressures_web

Figure 3.17 shows pressures and temperatures through a gas turbine engine (the PW4000, which powers the 747 and the 767).

Figure 3.18: Gas turbine engine pressure ratio trends (Jane’s Aeroengines, 1998)
Image fig1PressureRatioTrends_web

Figure 3.19: Trend of Brayton cycle thermal efficiency with compressor pressure ratio
Image fig4BraytonEta_web

Equation (3.10) says that for a high cycle efficiency, the pressure ratio of the cycle should be increased. This trend is plotted in Figure 3.19. Figure 3.18 shows the history of aircraft engine pressure ratio versus entry into service, and it can be seen that there has been a large increase in cycle pressure ratio. The thermodynamic concepts apply to the behavior of real aerospace devices!





Muddy Points

When flow is accelerated in a nozzle, doesn't that reduce the internal energy of the flow and therefore the enthalpy? (MP 3.11)

Why do we say the combustion in a gas turbine engine is constant pressure? (MP 3.12)

Why is the Brayton cycle less efficient than the Carnot cycle? (MP 3.13)

If the gas undergoes constant pressure cooling in the exhaust outside the engine, is that still within the system boundary? (MP 3.14)

Does it matter what labels we put on the corners of the cycle or not? (MP 3.15)

Is the work done in the compressor always equal to the work done in the turbine plus work out (for a Brayton cyle)? (MP 3.16)


3.7.2 Gas Turbine Technology and Thermodynamics

The turbine entry temperature, $ T_c$ , is fixed by materials technology and cost. (If the temperature is too high, the blades fail.) Figures 3.20 and 3.21 show the progression of the turbine entry temperatures in aeroengines. Figure 3.20 is from Rolls Royce and Figure 3.21 is from Pratt & Whitney. Note the relation between the gas temperature coming into the turbine blades and the blade melting temperature.

Figure 3.20: Rolls-Royce high temperature technology
Image fig1rollstemp_web

Figure 3.21: Turbine blade cooling technology [Pratt & Whitney]
Image fig1prattturbcool_web

For a given level of turbine technology (in other words given maximum temperature) a design question is what should the compressor $ TR$ be? What criterion should be used to decide this? Maximum thermal efficiency? Maximum work? We examine this issue below.

Figure 3.22: Efficiency and work of two Brayton cycle engines
Image fig1effworkbrayton_web

The problem is posed in Figure 3.22, which shows two Brayton cycles. For maximum efficiency we would like $ TR$ as high as possible. This means that the compressor exit temperature approaches the turbine entry temperature. The net work will be less than the heat received; as $ T_b \to T_c$ the heat received approaches zero and so does the net work.

The net work in the cycle can also be expressed as $ \int Pdv$ , evaluated in traversing the cycle. This is the area enclosed by the curves, which is seen to approach zero as $ T_b \to T_c$ .

The conclusion from either of these arguments is that a cycle designed for maximum thermal efficiency is not very useful in that the work (power) we get out of it is zero.

A more useful criterion is that of maximum work per unit mass (maximum power per unit mass flow). This leads to compact propulsion devices. The work per unit mass is given by:

$\displaystyle \textrm{Work/unit mass }= c_p [(T_c - T_b)-(T_d - T_a)],
$

where $ T_c$ is the maximum turbine inlet temperature (a design constraint) and $ T_a$ is atmospheric temperature. The design variable is the compressor exit temperature, $ T_b$ , and to find the maximum as this is varied, we differentiate the expression for work with respect to $ T_b$ :

$\displaystyle \frac{d\textrm{Work}}{dT_b}= c_p
\left[\frac{dT_c}{dT_b}-1-\frac{dT_d}{dT_b}+\frac{dT_a}{dT_b}
\right].
$

The first and the fourth terms on the right hand side of the above equation are both zero (the turbine entry temperature is fixed, as is the atmospheric temperature). The maximum work occurs where the derivative of work with respect to $ T_b$ is zero:

$\displaystyle \frac{d\textrm{Work}}{dT_b}=0= -1 -\frac{dT_d}{dT_b}.$ (3..11)

To use Eq. (3.11), we need to relate $ T_d$ and $ T_b$ . We know that

$\displaystyle \frac{T_d}{T_a}=\frac{T_c}{T_b}\quad\textrm{ or }\quad T_d = \frac{T_a T_c}{T_b}.
$

Hence,

$\displaystyle \frac{dT_d}{dT_b} = -\frac{T_a T_c}{T_b^2}.
$

Plugging this expression for the derivative into Eq. (3.11) gives the compressor exit temperature for maximum work as $ T_b = \sqrt{T_a T_c}$ . In terms of temperature ratio,

$\displaystyle \textrm{Compressor temperature ratio for maximum work:}\quad
\frac{T_b}{T_a}=\sqrt{\frac{T_c}{T_a}}.
$

The condition for maximum work in a Brayton cycle is different than that for maximum efficiency. The role of the temperature ratio can be seen if we examine the work per unit mass which is delivered at this condition:

$\displaystyle \textrm{Work/unit mass }= c_p\left[T_c - \sqrt{T_a T_c}-\frac{T_a
T_c}{\sqrt{T_a T_c}} +T_a\right].
$

Ratioing all temperatures to the engine inlet temperature,

$\displaystyle \textrm{Work/unit mass }= c_p
T_a\left[\frac{T_c}{T_a}-2\sqrt{\frac{T_c}{T_a}}+1\right].
$

To find the power the engine can produce, we need to multiply the work per unit mass by the mass flow rate:

$\displaystyle \textrm{Power} = \dot{m} c_p T_a \left[\frac{T_c}{T_a} -2\sqrt{\frac{T_c}{T_a}}+1\right];\textrm{ Maximum power for an ideal Brayton cycle}.$ (3..12)

$\displaystyle \textrm{(The units are} \frac{kg}{s}\frac{J}{kg\textrm{-}K}K =
\frac{J}{s}=\textrm{Watts.)}$

The trend of work output vs. compressor pressure ratio, for different temperature ratios $ \textrm{TR} = T_c/T_a$ , is shown in Figure 3.23.

Figure 3.23: Trend of cycle work with compressor pressure ratio, for different temperature ratios $ \textrm{TR} = T_c/T_a$
Image fig4BraytonWork_web

Figure 3.24: Aeroengine core power [Koff/Meese, 1995]
[Gas turbine engine core] Image fig1core_web [Core power vs. turbine entry temperature] Image fig1coreall_web

Figure 3.24 shows the expression for power of an ideal cycle compared with data from actual jet engines. Figure 3.24(a) shows the gas turbine engine layout including the core (compressor, burner, and turbine). Figure 3.24(b) shows the core power for a number of different engines as a function of the turbine rotor entry temperature. The equation in the figure for horsepower (HP) is the same as that which we just derived, except for the conversion factors. The analysis not only shows the qualitative trend very well but captures much of the quantitative behavior too.

A final comment (for this section) on Brayton cycles concerns the value of the thermal efficiency. The Brayton cycle thermal efficiency contains the ratio of the compressor exit temperature to atmospheric temperature, so that the ratio is not based on the highest temperature in the cycle, as the Carnot efficiency is. For a given maximum cycle temperature, the Brayton cycle is therefore less efficient than a Carnot cycle.





Muddy Points

What are the units of $ w$ in $ \textrm{power } = \dot{m} w$ ? (MP 3.17)

Question about the assumptions made in the Brayton cycle for maximum efficiency and maximum work (MP 3.18)

You said that for a gas turbine engine modeled as a Brayton cycle the work done is $ w=q_1+q_2$ , where $ q_2$ is the heat added and $ q_1$ is the heat rejected. Does this suggest that the work that you get out of the engine doesn't depend on how good your compressor and turbine are?$ \dots$ since the compression and expansion were modeled as adiabatic. (MP 3.19)


3.7.3 Brayton Cycle for Jet Propulsion: the Ideal Ramjet

A schematic of a ramjet is given in Figure 3.25.

Figure 3.25: Ideal ramjet [J. L. Kerrebrock, Aircraft Engines and Gas Turbines]
Image fig5RamjetSchematic_web

In the ramjet there are ``no moving parts.'' The processes that occur in this propulsion device are:

  • $ 0 \rightarrow 3$ : Isentropic diffusion (slowing down) and compression, with a decrease in Mach number, $ M_0
\rightarrow M_3 \ll 1$ .
  • $ 3\rightarrow4$ : Constant pressure combustion.
  • $ 4 \rightarrow 5$ : Isentropic expansion through the nozzle.

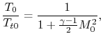
The ramjet thermodynamic cycle efficiency can be written in terms of flight Mach number, $ M_0$ , as follows:

$\displaystyle \eta_\textrm{Brayton}=1-\frac{T_0}{T_\textrm{compressor
exit}}=1-\frac{T_0}{T_3}=1-\frac{T_0}{T_{t0}}$

and

$\displaystyle \frac{T_0}{T_{t0}}=\frac{1}{1+\frac{\gamma-1}{2}M_0^2},$

so

$\displaystyle \eta_\textrm{Brayton}
=\frac{\frac{\gamma-1}{2}M_0^2}{1+\frac{\gamma-1}{2}M_0^2}.$

See also Section 11.6.3 for other figures of merit.





Muddy Points

Why don't we like the numbers 1 and 2 for the stations? Why do we go 0-3? (MP 3.20)

For the Brayton cycle efficiency, why does $ T_3=T_{t0}$ ? (MP 3.21)

3.7.4 MIT Cogenerator

MIT operates a Brayton cycle power generator on campus. For more information, see the website at https://cogen.mit.edu/ctg.cfm .

UnifiedTP