Glass of directed polymers

Summary
I. Directed polymers in random media (DPRM): 6 vertex model, transfer matrix (TM)

II. One DPRM: free energy and its fluctuations
![]()
III. Few DPRMs: Cost of non-crossing condition


IV. (Vortex) Glass of DPRM: Results from Replica Bethe Ansatz

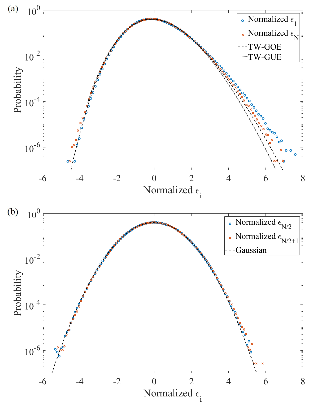
V. Log(TM)/t eigenvalues compared to random matrices
![]()
.jpeg)
Open questions:
Transition between
and
.
Transition between edge and middle Log(eigenvalues).
"Particle-hole" symmetry between smallest and largest Log(eigenvalues).
Is the arrangemet of Log(eigenvalues) hyperuniform?
Acknowledgments

Abbas Saberi, Sherry Chu, Ramis Movassagh
Rutgers University 127th Statistical Mechanics Conference December 15, 2024